Deriving the Wassiljewa mixture model equation

Click For Summary

Discussion Overview

The discussion revolves around deriving the Wassiljewa mixture model equation for a binary solution, specifically focusing on finding an expression for the excess Gibbs free energy term, gE, which is added to the ideal solution term, gIS, to predict the Gibbs free energy for a real solution.

Discussion Character

  • Exploratory, Technical explanation, Mathematical reasoning

Main Points Raised

  • One participant expresses that they are stuck in the derivation process and mentions a specific condition where setting x1 = 1 and x2 = 0 leads to a known relationship.
  • Another participant questions what might be missing from the initial equation for excess g that was already provided.
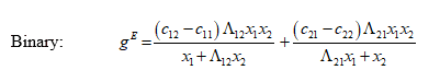
  • A different participant indicates a goal of achieving a specific form of the equation, referencing an attached image for clarity.
  • One participant suggests a method involving setting x1 and x2 to specific values and equating two functions at a certain point to determine unknown constants.
  • Another participant proposes that a specific parameter, s, should be equal to 1.

Areas of Agreement / Disagreement

Participants have not reached a consensus, and multiple approaches and suggestions are being discussed without resolution.

Contextual Notes

There are unresolved assumptions regarding the derivation steps and the specific forms of the equations being referenced, as well as the definitions of the parameters involved.

Who May Find This Useful

Individuals interested in thermodynamics, particularly in the context of mixture models and Gibbs free energy calculations, may find this discussion relevant.

George26
Messages
3
Reaction score
0
Homework Statement
Derive the Wassiljewa mixture model equation for a binary mixture.
Relevant Equations
x1+x2 =1
Hello,

I'm in the process of deriving the Wassiljewa mixture model equation for a binary solution. I have to find an expression gE which represents the excess g term which is added to gIS, the ideal solution, to predict the g for a real solution. I have gotten up to a point but now I'm stuck.

I do realize that
  • Setting x1 = 1 and x2 = 0 gives g#(C, x1=1) = c11=g10
Any help is appreciated.
 

Attachments

Last edited:
Physics news on Phys.org
It looks like you already wrote the equation for excess g at the outset. What am I missing?
 
Hello,

I'm aiming for the form in the image attached. I'm unsure of how to get there with what I currently have.
 

Attachments

  • image (1).png
    image (1).png
    1.4 KB · Views: 227
So, you are starting with
1618067221405.png

And you are trying to find the values of r and s that lead to the form of ##g^E## that you showed at the beginning of the post?
 
What about something like this: In both expressions, let $$x_1=0.5+\delta$$and $$x_2=0.5-\delta$$Then set the two functions equal to one another at ##\delta=0## and set as many derivatives with respect to ##\delta## at ##\delta=0## as necessary to determine all the unknown constants.
 
I think that s has to be equal to 1.
 

Similar threads

  • · Replies 1 ·
Replies
1
Views
4K
  • · Replies 6 ·
Replies
6
Views
2K
  • · Replies 2 ·
Replies
2
Views
2K
  • · Replies 1 ·
Replies
1
Views
3K
  • · Replies 1 ·
Replies
1
Views
2K
  • · Replies 1 ·
Replies
1
Views
2K
  • · Replies 2 ·
Replies
2
Views
2K
  • · Replies 3 ·
Replies
3
Views
8K
  • · Replies 12 ·
Replies
12
Views
3K