Describing homeomorphisms with the π1 function

  • Context: Undergrad 
  • Thread starter Thread starter Mikaelochi
  • Start date Start date
  • Tags Tags
    Function
Click For Summary
SUMMARY

The discussion focuses on understanding the fundamental group π1 of the unit circle S^1, specifically regarding the mapping of loops and their equivalence classes. The fundamental group π1(S^1, p) consists of equivalence classes of closed loops based at point p, which can be represented by integers corresponding to the number of times a loop winds around the circle. The participants clarify that for the function f, if f(1) = 1, then f*(n) = n, while for the inverse function, f*(n) = -m. The answers to the posed questions about the mappings and equivalence classes are confirmed with detailed explanations.

PREREQUISITES
  • Understanding of fundamental groups in algebraic topology
  • Familiarity with equivalence classes and their properties
  • Basic knowledge of continuous functions and loops
  • Concepts of homomorphisms in group theory
NEXT STEPS
  • Study the properties of the fundamental group π1 and its applications in topology
  • Learn about homomorphisms and their role in group theory
  • Explore the concept of equivalence classes in more depth
  • Investigate continuous functions and their implications in algebraic topology
USEFUL FOR

Mathematicians, students of topology, and anyone interested in group theory and its applications in understanding the structure of spaces.

Mikaelochi
Messages
40
Reaction score
1
TL;DR
A problem from a topology class I took but never really understood
HW9Q5.png

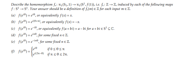
Here is what the problem looks like. The thing is I don't remember what π1is exactly and I don't really know much group theory or know what equivalence classes are. I remember learning some group theory fact that f*(n) = n*f*(1). So, I think (a) was just equal to m since f(1) = 1 and (b) was equal to -m. Anyway, I'd like to know if my answers to (a) and (b) are correct. And if I could get an explanation on how to even do (c) through (f). Thank you very much.
 
Physics news on Phys.org
##S^1## is the unit circle.

##\pi_1(S^1, p)## is the fundamental group of the unit circle relative to point ##p##, which is the set of equivalence classes of closed loops in ##S^1## that start and finish at point ##p## on the circle.

A loop in ##S^1## is a continuous function ##g## from the unit interval ##[0,1]## to ##S^1##, for which ##g(0)=g(1)##, ie it finishes at the point where it began. It is a path together with specifying a direction and speed in which to traverse it.

An equivalence class of loops is the set of all loops that can be transformed into one another by smooth deformation - no cutting and reattaching allowed. The consequence of that is that the fundamental group of a set roughly relates to the number of 'holes' in the set, as a curve that goes right around a hole can't be smoothly deformed to not go around it.

So the fundamental group of the one-hole circle ##S^1## corresponds to the integers. To each integer ##m## corresponds a member of the fundamental group, an equivalence class, consisting of loops that go anti-clockwise around the circle a net ##m## times. The word 'net' indicates that if the loop doubles back on itself, the retraced path cancels out - eg if it goes anti-clockwise 5 times then clockwise twice, that is a net 3 and it corresponds to the integer 3.

Negative integers correspond to a net clockwise circling of the hole.

Use a simple loop to test each question - the simplest loop being a single anti-clockwise journey around the circle, given by ##g(t) = e^{2\pi i t}## for ##t\in]0,1]##. This belongs to the equivalence class corresponding to the integer 1. For each case you need to work out which integer the function ##h = f\circ g## (ie ##h(t) = f(g(t))##) corresponds to, ie how many times does the loop ##h## go around the circle and in which direction?

Once you've worked out what integer ##f## maps 1 to, you can work out ##f_*(m) = m\times f_*(1)##, using the homomorphism property. So if ##f_*(1)=-3## then ##f_*(-10) = 30##.

Some functions $f$ will reverse the direction (in which case 1 maps to a negative integer), and others will alter the number of rotations (in which case 1 maps to an integer with magnitude different from 1- either increased, or going to zero).

Your guess is correct for (a) but wrong for (b). The answer for (b) is the same as for (a). They both map 1 to 1, and hence map ##m## to ##m##. The only difference is the starting point, which is irrelevant. All that matters is number and direction of rotations.

You may find that the answer to (c) is negative, and the answer to (d) is not ##1## or ##-1##.
 
Last edited:
  • Like
Likes   Reactions: Mikaelochi


Hi there,

It seems like you have some basic understanding of group theory, but may need a refresher on some concepts. Let's break down the problem together.

First, let's define some terms. π1 is the first projection map, which essentially takes a pair of elements and returns the first element. Equivalence classes are sets of elements that are considered "equivalent" under some specific relation or operation.

Now, for part (a), you are correct in saying that f(1) = 1, so f*(1) = 1. This means that for any element n, f*(n) = n*f*(1) = n*1 = n. Therefore, (a) is equal to m.

For part (b), you are also correct in saying that f*(n) = n*f*(1). However, in this case, we are dealing with the inverse of the function, so f*(n) = n*f*(1) = n*1 = n. But since we are looking for the inverse, we need to find the value of n that when multiplied by m gives us 1. This value is -m, so (b) is equal to -m.

Now, for part (c), we need to find the equivalence class of (1,1). This means we need to find all pairs of elements that are equivalent to (1,1) under the relation defined by the function f. Since f(1) = 1, any pair (x,y) where x = y would be equivalent to (1,1). Therefore, the equivalence class of (1,1) is the set {(x,x)|x∈R}.

For part (d), we need to find the equivalence class of (0,1). This means we need to find all pairs of elements that are equivalent to (0,1) under the relation defined by the function f. Since f(0) = 0, any pair (x,y) where x = 0 and y = 1 would be equivalent to (0,1). Therefore, the equivalence class of (0,1) is the set {(0,1)}.

For part (e), we need to find the equivalence class of (1,0). This means we need to find all pairs of elements that are equivalent to (1,0) under the relation defined by the function f. Since f(1) =
 

Similar threads

  • · Replies 5 ·
Replies
5
Views
2K
  • · Replies 4 ·
Replies
4
Views
2K
  • · Replies 5 ·
Replies
5
Views
4K
  • · Replies 2 ·
Replies
2
Views
3K
  • · Replies 4 ·
Replies
4
Views
4K
  • · Replies 2 ·
Replies
2
Views
3K
  • · Replies 14 ·
Replies
14
Views
5K
  • · Replies 8 ·
Replies
8
Views
3K
  • · Replies 3 ·
Replies
3
Views
3K
  • · Replies 6 ·
Replies
6
Views
3K