Determinant Q54: Cofactor Expansion Solution

  • Thread starter Thread starter azzarooni88
  • Start date Start date
  • Tags Tags
    Determinant
Click For Summary

Homework Help Overview

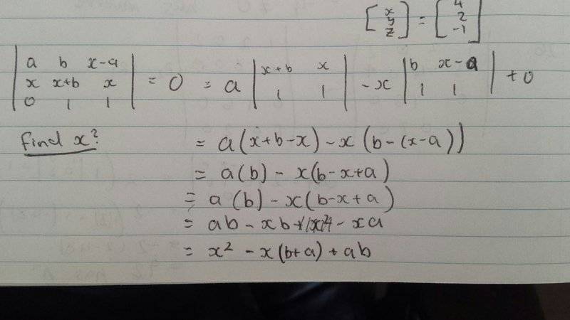
The discussion revolves around a problem involving the cofactor expansion of a determinant, specifically focusing on the implications of setting the determinant equal to zero. Participants are examining the steps taken in the solution process and the validity of the equations presented.

Discussion Character

  • Exploratory, Assumption checking, Problem interpretation

Approaches and Questions Raised

  • Participants are questioning the integrity of the equations presented, particularly regarding the loss of one side of the equation when setting the determinant to zero. There is an exploration of the logical flow of the attempted solution and the necessity of maintaining both sides of the equation throughout the process.

Discussion Status

The discussion is active, with participants providing feedback on the attempts made by the original poster. There is a focus on clarifying the steps taken and ensuring that the equations are correctly represented. Some guidance has been offered regarding the need for a complete equation when solving.

Contextual Notes

Participants are navigating the constraints of the problem, particularly the requirement to solve an equation that has been partially presented. There is an emphasis on the importance of maintaining clarity in mathematical expressions throughout the solution process.

azzarooni88
Messages
10
Reaction score
3

Homework Statement



?temp_hash=02f18fab410d1aa0cdd3721da958b5f6.jpg


Q54.

Homework Equations



Cofactor expansion (along 1st column)

The Attempt at a Solution



20180515_125718_1920x1080.jpg
 

Attachments

  • 20180515_125718_1920x1080.jpg
    20180515_125718_1920x1080.jpg
    33.4 KB · Views: 821
  • 20180515_123029_1920x1080.jpg
    20180515_123029_1920x1080.jpg
    22.6 KB · Views: 450
  • ?temp_hash=02f18fab410d1aa0cdd3721da958b5f6.jpg
    ?temp_hash=02f18fab410d1aa0cdd3721da958b5f6.jpg
    22.6 KB · Views: 836
Physics news on Phys.org
azzarooni88 said:

Homework Statement



View attachment 225748

Homework Equations



Cofactor expansion (along 1st column)

The Attempt at a Solution



View attachment 225746
What happened to your equation. You're starting with the determinant equalling 0. You lost one side of your equation.
 
Mark44 said:
What happened to your equation. You're starting with the determinant equalling 0. You lost one side of your equation.
solving the determinant equal to 0
 
azzarooni88 said:
solving the determinant equal to 0
If you're solving an equation, you have to actually have an equation.
In your first line, you start off with "= ..." followed by a bunch of expressions. You seem to have lost one side of your equation.
 
Mark44 said:
If you're solving an equation, you have to actually have an equation.
In your first line, you start off with "= ..." followed by a bunch of expressions. You seem to have lost one side of your equation.
I think my working is logical. I start off with 0=... and just don't continue writing 0 on the LHS as I solve for the RHS. Ultimately I get 0=x2 - x(b+a) +ab
 
azzarooni88 said:
I think my working is logical. I start off with 0=... and just don't continue writing 0 on the LHS as I solve for the RHS. Ultimately I get 0=x2 - x(b+a) +ab

Okay, can you solve that equation for ##x##?
 

Similar threads

  • · Replies 3 ·
Replies
3
Views
2K
  • · Replies 6 ·
Replies
6
Views
2K
Replies
1
Views
2K
  • · Replies 2 ·
Replies
2
Views
2K
  • · Replies 5 ·
Replies
5
Views
2K
  • · Replies 7 ·
Replies
7
Views
6K
  • · Replies 6 ·
Replies
6
Views
3K
  • · Replies 5 ·
Replies
5
Views
2K
  • · Replies 1 ·
Replies
1
Views
9K
  • · Replies 3 ·
Replies
3
Views
2K