Determining Convexity: S2 and Operations that Preserve Convexity

Click For Summary
SUMMARY

The discussion focuses on determining the convexity of the set S2 using established mathematical definitions and operations that preserve convexity. Key operations mentioned include intersection, affine functions, perspective functions, and linear functionals. The participant expresses difficulty in applying the convexity definition and suggests that the set may not be convex, despite being able to prove convexity for simpler sets like norm balls and polyhedra. A classmate recommended using epigraphs as an alternative approach to tackle the problem.

PREREQUISITES
  • Understanding of convex sets and their definitions
  • Familiarity with operations that preserve convexity, such as intersection and affine functions
  • Basic knowledge of epigraphs in convex analysis
  • Ability to manipulate mathematical expressions involving logarithmic functions
NEXT STEPS
  • Research the properties of epigraphs and their application in proving convexity
  • Study the implications of affine functions on convex sets
  • Explore the concept of convexity in different coordinate planes
  • Learn how to effectively use LaTeX for mathematical expressions and proofs
USEFUL FOR

Mathematics students, particularly those studying convex analysis, as well as educators and researchers interested in the properties of convex sets and their applications in optimization.

perplexabot
Gold Member
Messages
328
Reaction score
5

Homework Statement


Show if the set is convex or not!
S2 =
the_SEt.png


Homework Equations


I know that to show a set is convex you can either use the definition or show that the set can be obtained from known convex sets under operations that preserve convexity.

Convex definition: x1*Theta + (1 - Theta)*x2 ∈ S2
Ops that preserve convex sets (that i know of): Intersection, affine functions, perspective functions, linear functionals.
This formula may come in handy:
formula.png

The Attempt at a Solution


I was able to rewrite the set as:
retry.jpg

I have no idea if that will help me and I also have no idea where to go from here! Using the definition I end up with sums in the log function which leads me no where. I have a feeling this set is not convex but once again I am not sure.
Please any help will be greatly appreciated as I have been thinking about it for a while.

Thank you.

PS: I am able to prove simple things like the convexity of a norm ball or polyhedra but I am not able to do this one.

EDIT: I have scanned a better attempt at this problem, however I am still not able to do it. I feel defeated, it feels bad : (
 
Last edited:
Physics news on Phys.org
Posting working as images is discouraged, for good reasons. It's hard to read and hard to make reference to. It certainly cuts down the number of people who will try to help you.
I can see how to use the given hint for the case where z1=z2, likely you can too.
I did wonder whether it would be sufficient to show convexity in every plane orthogonal to an axis, but that doesn't work. E.g. Z <= xy is convex in all such planes, but not in the plane x=y.
 
haruspex said:
Posting working as images is discouraged, for good reasons. It's hard to read and hard to make reference to. It certainly cuts down the number of people who will try to help you.
I can see how to use the given hint for the case where z1=z2, likely you can too.
I did wonder whether it would be sufficient to show convexity in every plane orthogonal to an axis, but that doesn't work. E.g. Z <= xy is convex in all such planes, but not in the plane x=y.
Thank you for your time and input good sir. The reason I post my work is because I don't know how to use latex that well. I should probably learn to but I kind of rather work on this homework rather than learn latex (sorry...) I agree with you, this will probably reduce replies.

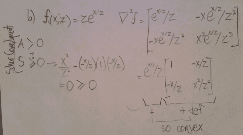
I actually asked one of my class mates for this, and he told me to use a different approach (Epigraphs!)! Anyway, it was my approach that was off. I could have continued the way I had started but it would have been very gruesome. Here is the solution for anyone interested (i do apologize for it not being in latex format):
solution.png
 

Similar threads

  • · Replies 1 ·
Replies
1
Views
2K
  • · Replies 6 ·
Replies
6
Views
2K
  • · Replies 8 ·
Replies
8
Views
2K
  • · Replies 5 ·
Replies
5
Views
2K
  • · Replies 10 ·
Replies
10
Views
2K
  • · Replies 8 ·
Replies
8
Views
5K
  • · Replies 6 ·
Replies
6
Views
2K
  • · Replies 1 ·
Replies
1
Views
7K
Replies
4
Views
3K
  • · Replies 9 ·
Replies
9
Views
4K