Dirac Delta using Fourier Transformation

Click For Summary

Discussion Overview

The discussion centers around the Dirac delta function and its representation using Fourier transformation. Participants explore the mathematical properties and definitions of the Dirac delta function, particularly in relation to limits involving sine functions as the frequency approaches infinity. The scope includes theoretical aspects and mathematical reasoning.

Discussion Character

  • Technical explanation
  • Debate/contested
  • Mathematical reasoning

Main Points Raised

  • One participant presents the Dirac delta function as a limit of a sine function divided by x, suggesting that it represents infinite amplitude at x=0 and zero elsewhere.
  • Another participant challenges the initial definition of the Dirac delta function, arguing that the proposed limit does not exist for x≠0 and only approaches infinity as x approaches 0.
  • A later reply reiterates the concern regarding the limit of the sine function, emphasizing that it does not exist for any x not equal to zero.
  • Another participant references a formal definition involving Fourier transformation, attempting to relate it to the Dirac delta function but faces similar objections regarding the existence of limits.
  • Concerns are raised about the validity of the mathematical steps leading to the conclusion that the Dirac delta function can be represented as a limit of sine functions.

Areas of Agreement / Disagreement

Participants express disagreement regarding the representation of the Dirac delta function as a limit of sine functions, with multiple competing views on the validity of the mathematical claims and definitions presented. The discussion remains unresolved.

Contextual Notes

Participants highlight limitations in the definitions and mathematical steps, particularly concerning the existence of limits for x not equal to zero. There is an emphasis on the need for rigorous definitions and proofs in the context of the Dirac delta function.

arpon
Messages
234
Reaction score
16
We know,
$$\delta(x) = \begin{cases}
\infty & \text{if } x = 0 \\
0 & \text{if } x \neq 0
\end{cases}$$
And, also,
$$\int_{-\infty}^{\infty}\delta(x)\,dx=1$$
Using Fourier Transformation, it can be shown that,
$$\delta(x)=\lim_{\Omega \rightarrow \infty}\frac{\sin{(\Omega x)}}{\pi x}$$
Let's look at the graph of ##y=\frac{\sin{(\Omega x)}}{\pi x}##, for large ##\Omega##.

Untitled.png


So, from this graph, it seems,
$$\lim_{\Omega \rightarrow \infty}\frac{\sin{(\Omega x)}}{\pi x}\neq 0 \text{ , for } x\neq 0 $$

But, this is actually the Fourier transformation of the function,
$$f(t)=1=\exp{(i\cdot 0\cdot t)}$$

So, intution tells me that the frequency spectrum of ##f(t)## should have infinite amplitude at ##x=0## and ##0## amplitude otherwise, just like the Dirac-delta function.

Now, how can I show that,
$$\lim_{\Omega \rightarrow \infty}\frac{\sin{(\Omega x)}}{\pi x} = 0 \text{ when, } x\neq 0$$
 
Last edited:
Physics news on Phys.org
The rigorous definition of dirac delta function is not the one you write at the beginning of your post. Even if we accept that definition (because intuitively that's what the dirac delta is) then I don't know how you come up with ##\delta(x)=\lim_{\Omega \rightarrow \infty} \frac{sin(\Omega x)}{\pi x}## cause that limit simply does NOT exist. (it does not exist for ##x\neq 0##, if we first take the limit x->0 then it exists and is infinite).
 
Last edited:
Delta² said:
The rigorous definition of dirac delta function is not the one you write at the beginning of your post. Even if we accept that definition (because intuitively that's what the dirac delta is) then I don't know how you come up with ##\delta(x)=\lim_{\Omega \rightarrow \infty} \frac{sin(\Omega x)}{\pi x}## cause that limit simply does NOT exist. (it does not exist for ##x\neq 0##, if we first take the limit x->0 then it exists and is infinite).

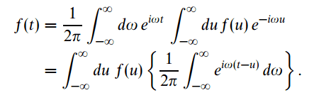
Using Fourier transformation, we have,
AS.PNG


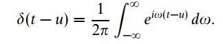
Comparing with the equation,
$$f(t)=\int_{-\infty}^{\infty}\delta(t-u)f(u)\,du$$
we have,
ASS.PNG


Thus,
$$\begin{align}
\delta(t)&=\frac{1}{2\pi}\int_{-\infty}^{\infty}e^{i\omega t}\,d\omega\\
&=\frac{1}{2\pi}\lim_{\Omega\rightarrow \infty}\left[\frac{e^{i\omega t}}{i\omega t}\right]^{\Omega}_{\omega=-\Omega}\\
&=\lim_{\Omega \rightarrow \infty}\frac{\sin{(\Omega t)}}{\pi t}
\end{align}$$

Reference:
Mathematical Methods for Physics and Engineering: A Comprehensive Guide, 3rd Edition by K. F. Riley, M. P. Hobson, S. J. Bence, Page/442
 
The last two equalities would hold only if the limit ##\frac{1}{2\pi}\lim_{\Omega\rightarrow \infty}\left[\frac{e^{i\omega t}}{it}\right]^{\Omega}_{\omega=-\Omega}=
\lim_{\Omega \rightarrow \infty}\frac{\sin{(\Omega t)}}{\pi t}

## existed but it does not exist, as you can easily prove for any x<>0 the limit ##\lim_{\Omega \rightarrow \infty}\sin{(\Omega x)}## does not exist.
 
Last edited:

Similar threads

  • · Replies 2 ·
Replies
2
Views
2K
  • · Replies 0 ·
Replies
0
Views
4K
  • · Replies 4 ·
Replies
4
Views
3K
  • · Replies 3 ·
Replies
3
Views
3K
  • · Replies 3 ·
Replies
3
Views
3K
Replies
1
Views
3K
  • · Replies 9 ·
Replies
9
Views
3K
  • · Replies 1 ·
Replies
1
Views
4K
  • · Replies 7 ·
Replies
7
Views
4K
  • · Replies 2 ·
Replies
2
Views
2K