Does Heating a Metal Wire Change Its Properties?

Click For Summary

Homework Help Overview

The discussion revolves around the effects of heating on a metal wire, particularly focusing on thermal expansion and its implications for the wire's properties. Participants explore the assumptions related to changes in dimensions, especially in the context of a closed ring versus a cut wire.

Discussion Character

  • Exploratory, Conceptual clarification, Assumption checking

Approaches and Questions Raised

  • Participants question the assumption that the radius of a closed ring remains constant during thermal expansion. They discuss the implications of measuring distances between points on the ring at different temperatures.
  • Some explore the concept of isotropic expansion and whether the expansion occurs uniformly in all directions, raising questions about angular versus linear expansion.
  • There are attempts to clarify the meaning of "geometrically similar" in the context of thermal expansion and how it relates to the dimensions of the wire.

Discussion Status

The discussion is active, with participants providing insights and questioning each other's assumptions. Some have offered clarifications on the nature of isotropic expansion and its effects on dimensions, while others are reflecting on their initial thoughts and seeking further opinions.

Contextual Notes

There are mentions of constraints regarding the assumptions made about the wire's geometry and the nature of thermal expansion, particularly in relation to whether the expansion is constrained or unconstrained.

eitan77
Messages
33
Reaction score
2
Homework Statement
A metal wire ring has a cut of the width d. The ring is at a temperature of 20 degrees C.
If one heats the ring up to the temperature of 100 degrees C, how will the width of the cut d change?
(You can assume that the full geometry of the ring with cut is known).

I would love to know what you think about my solution. Do you think the assumptions are correct?

can you try to explain qualitatively how d will change with the increasing temperature and why?
Relevant Equations
delta_L =L*alpha*delta_T

alpha -the wire's coefficient expansion
L- the wire's length
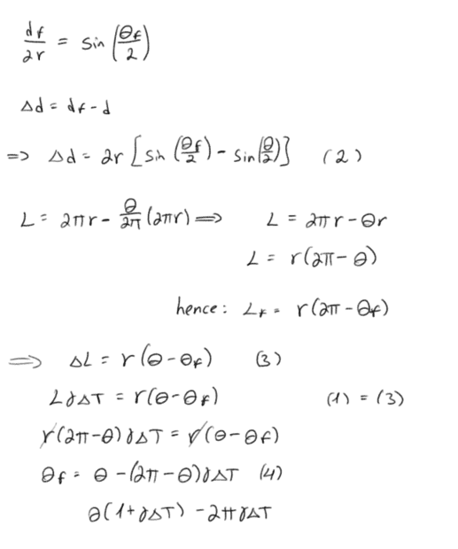
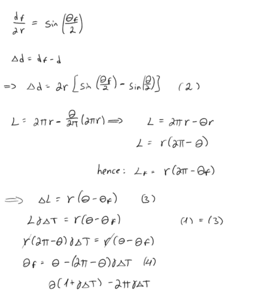
I have attached a PDF file.
 

Attachments

Physics news on Phys.org
Please post the diagram as a directly viewable image, not as a PDF (that's a pain to download on an iPad).
 
  • Like
Likes   Reactions: eitan77
OP's work:
1700266969494.png

1700266992511.png

1700267009226.png
 
  • Like
Likes   Reactions: eitan77 and berkeman
You assume that the radius does not change. Is this a reasonable assumption? For a closed ring the radius changes by the same fraction as the perimeter of the ring. What if you mark two points on a closed ring and measure the cord between the points at the two temperatures?
 
  • Like
Likes   Reactions: eitan77
If ##\Delta L=L_0\alpha\Delta T## it follows that the final length is $$L=L_0+L_0\alpha\Delta T=L_0(1+\alpha\Delta T)$$ This says that the "hotter" length is proportional to the "cooler" length. The constant of proportionality is the same in both x and y directions. What does this suggest?
 
  • Like
Likes   Reactions: eitan77
In pure thermal expansion like this, the expansion is unconstrained, such that the body deforms in a way so that the final configuration is geometrically similar to the initial configuration, and all linear dimensions grow by the same fraction.
 
  • Like
Likes   Reactions: eitan77
haruspex said:
Please post the diagram as a directly viewable image, not as a PDF (that's a pain to download on an iPad).
sorry for that I promise to do it next time, one of the respondents uploaded the file as an image.
 
Chestermiller said:
In pure thermal expansion like this, the expansion is unconstrained, such that the body deforms in a way so that the final configuration is geometrically similar to the initial configuration, and all linear dimensions grow by the same fraction.
Thanks for the comment. But what about this case where the thermal expansion is not in the linear direction but in the angular direction? (Maybe I'm wrong)

I tried to think of it as a horizontal wire that grew in length as a result of the heating from which the ring is made. When there is a complete ring the length of the wire increases and therefore the radius must increase, but when the ring has a cut as in this case, the expansion of the wire can go to closing the the cut or part of it so that the radius remains as it was.
My calculations were based on this assumption.
 
  • #10
nasu said:
You assume that the radius does not change. Is this a reasonable assumption? For a closed ring the radius changes by the same fraction as the perimeter of the ring. What if you mark two points on a closed ring and measure the cord between the points at the two temperatures?
Thanks for the comment. please check my comment (#9) I explained my way of thinking there. I would love to hear your opinion on this.
 
  • #11
eitan77 said:
Thanks for the comment. But what about this case where the thermal expansion is not in the linear direction but in the angular direction? (Maybe I'm wrong)

I tried to think of it as a horizontal wire that grew in length as a result of the heating from which the ring is made. When there is a complete ring the length of the wire increases and therefore the radius must increase, but when the ring has a cut as in this case, the expansion of the wire can go to closing the the cut or part of it so that the radius remains as it was.
My calculations were based on this assumption.
Unconstrained thermal expansion is isotropic, and occurs equally in all directions. What does “geometrically similar “ mean to you?
 
  • #12
Chestermiller said:
Unconstrained thermal expansion is isotropic, and occurs equally in all directions. What does “geometrically similar “ mean to you?
Thank you again. This means that the objects look exactly alike except for the fact that they are of different sizes.
So my assumption was wrong. Can it be said that in this case the width of the cut d will necessarily increase?
 
  • #13
eitan77 said:
Thank you again. This means that the objects look exactly alike except for the fact that they are of different sizes.
Yes!!! It's like taking a photograph at the lower temperature and then taking it again at the higher temperature. The second photo is an enlargement of the first by a factor of ##(1+\alpha~\Delta T)## (see post #5).
 
  • #14
eitan77 said:
Thank you again. This means that the objects look exactly alike except for the fact that they are of different sizes.
So my assumption was wrong. Can it be said that in this case the width of the cut d will necessarily increase?
Yes
 
  • #15
eitan77 said:
Thanks for the comment. But what about this case where the thermal expansion is not in the linear direction but in the angular direction? (Maybe I'm wrong)
The thermal expansion of an isotropic solid is isotropic (unless the solid is constrained; not the case here). This means that all the dimensions change by the same fraction.
 
  • #16
Thank you all for the answers, you helped me a lot.
 
  • Like
Likes   Reactions: kuruman

Similar threads

  • · Replies 7 ·
Replies
7
Views
1K
Replies
5
Views
1K
  • · Replies 2 ·
Replies
2
Views
2K
Replies
44
Views
5K
  • · Replies 5 ·
Replies
5
Views
2K
Replies
23
Views
5K
  • · Replies 2 ·
Replies
2
Views
968
  • · Replies 1 ·
Replies
1
Views
3K
Replies
7
Views
2K
Replies
18
Views
2K