Evaluating the results of a Lax-Wendroff scheme on 1-D flux

  • Thread starter Thread starter SimoneC618
  • Start date Start date
  • Tags Tags
    Flux
Click For Summary
SUMMARY

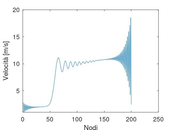
The discussion focuses on evaluating the results of a Lax-Wendroff scheme implemented in Matlab for analyzing 1-D flux in an ICE aspiration manifold. The user provided initial conditions including temperature (T1 = 293.08 K), pressure (P1 = 95421.5 Pa), and velocity (u1 = 2.77 m/s), and calculated an outlet pressure (P2 = 90161 Pa) based on engine rotation speed (n = 6000 rpm). Concerns were raised regarding the stability and convergence of the Lax-Wendroff scheme, suggesting potential implementation issues compared to the Lax-Friederichs scheme. A recommendation was made to verify the code against standard equations to ensure correctness.

PREREQUISITES
  • Understanding of Lax-Wendroff and Lax-Friederichs numerical schemes
  • Familiarity with Matlab programming for numerical analysis
  • Knowledge of conservation laws in fluid dynamics
  • Basic principles of compressible flow and ideal gas behavior
NEXT STEPS
  • Test the Matlab code against the standard equation du/dt + a*du/dx = 0 for validation
  • Investigate the implementation of the Lax-Wendroff scheme to ensure stability
  • Explore the extension of the code to handle vector inputs instead of scalar values
  • Review the principles of numerical stability and convergence in computational fluid dynamics
USEFUL FOR

Researchers, engineers, and students in computational fluid dynamics, particularly those working with numerical methods for analyzing compressible flow in internal combustion engines.

SimoneC618
Messages
1
Reaction score
1
Homework Statement
Analyze the flux properties in an ICE manifold using 1D numerical methods such as Lax-Wendroff or Lax-Friederichs
Relevant Equations
initial conditions: P_0 = 101325 Pa; T_0 = 293,15 K.
Hi everyone,
i'm very new to the forum so i hope I've used the correct form to write my question.

Anyway, i need some help to evaluate the result of my last analysis: I'm studying the flux flowing inside an ICE aspiration manifold in a very simplified way (1D flux, ideal gas, compressible flow). For the analysis I've implemented the Matlab code for a Lax-Wendroff scheme and for a Lax-Friderichs scheme using the following assumptions:

the air aspirated in the manifold is initially in the ambient condition;

the conditions at the inlet could be find using the energy and mass conservation law that give: T1 = 293.08 K ; P1 = 95421.5 Pa ; u1 = 2.77 m/s.

the pressure value at the outlet can be found assuming the rotation speed of the engine (n = 6000 rpm) and knowing the geometry of the cylinder;
the value I've found is about 5kPa, so P2 = 90161 Pa

Now, i have to solve the mass, momentum and energy conservation in the conservative form with numerical schemes I've mentioned above.
To avoid writing a very long message i attach my code and i hope you can understand all the steps.

Now the question: do you think the plots i obtained are correct? Is that what you expect from a Lax-Wendroff scheme?
To be onest i think something in my Lax Wendroff scheme is not working because the plots I've obtained show the solution is not converging and that would mean the scheme is not stable, but it should be more stable than Lax-Friederichs one! Moreover, i expect my solution to converge or, at least, to stabilize in a little range of values.

Well, I'm sorry for my bad grammar and i hope you can help me.
Best regards.
 

Attachments

  • Lax_Friderichs.txt
    Lax_Friderichs.txt
    8.5 KB · Views: 188
  • Lax_Wendroff.txt
    Lax_Wendroff.txt
    10.1 KB · Views: 153
  • Velocity_Lax_Friederichs.jpg
    Velocity_Lax_Friederichs.jpg
    11.1 KB · Views: 188
  • Pressure_Lax_Friederichs.jpg
    Pressure_Lax_Friederichs.jpg
    10.9 KB · Views: 171
  • Pressure_Lax_Wendroff.jpg
    Pressure_Lax_Wendroff.jpg
    13.5 KB · Views: 169
  • Velocity_Lax_Wendroff.jpg
    Velocity_Lax_Wendroff.jpg
    13.1 KB · Views: 178
Physics news on Phys.org
Hi! Well, have you tested your code with the standard equation du/dt + a*du/dx = 0 ? This is probably the case that was discussed with example solutions in a lecture belonging to this course.
You can then check if the numerical method was implemented correctly. You can then extend your verified code by making it accept a vector U instead of a scalar u. The first verification is then that your code still produces the same correct results if the vector U=. You can then extend the code to accept the variables that are necessary for your code. You can also introduce variables like u1=rho, u2=rho*U,... if needed to keep the shape of the equation as d/dt + a*d/dx.
 
Last edited:
  • Like
Likes   Reactions: SimoneC618

Similar threads

Replies
2
Views
2K
  • · Replies 2 ·
Replies
2
Views
2K
Replies
28
Views
8K