Finding the Moment Generating Function

Click For Summary

Discussion Overview

The discussion revolves around finding the moment generating function (MGF) in the context of a mathematics statistics problem. Participants explore the method for calculating the MGF, the integration process involved, and the implications of limits as t approaches zero.

Discussion Character

  • Exploratory
  • Mathematical reasoning
  • Homework-related

Main Points Raised

  • Some participants question whether their method for finding the MGF is correct, expressing confusion over the answers they are obtaining.
  • One participant clarifies the formula for the MGF as \(M_X(t) = E(e^{tX}) = \int_0^2 f(x)e^{tx}dx\) and notes the importance of summing contributions rather than splitting them.
  • Another participant mentions that they expect to find a \(t\) in the denominator and that the limit as \(t\) approaches zero should yield \(M_X(0) = 1\).
  • One participant calculates the integral and arrives at \(2(e^{2t}-1)/t\), but expresses uncertainty about their result when applying L'Hôpital's rule, which leads to a different value.
  • Another participant provides a detailed calculation of the MGF, arriving at a final expression and confirming the limit as \(t\) approaches zero using L'Hôpital's rule.

Areas of Agreement / Disagreement

Participants do not reach a consensus on the correctness of their calculations or the method used to find the MGF. There are multiple competing views regarding the integration process and the application of limits.

Contextual Notes

Participants express uncertainty about the integration steps and the implications of applying L'Hôpital's rule. There are also references to the proper spelling of L'Hôpital's name, indicating a focus on accuracy in mathematical terminology.

joypav
Messages
149
Reaction score
0
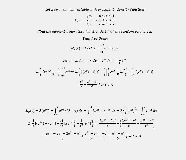
I'm working this problem for my math stat class. Here is what I have for it.

First of all, is this the correct method for finding MGF? I thought it was but I don't understand the answers I am getting.

How do I determine my values for t? For both I have t not equal to 0 because t is in the denominator.

View attachment 7272
 

Attachments

  • 2vkjbd2.jpg
    2vkjbd2.jpg
    31.9 KB · Views: 129
Physics news on Phys.org
joypav said:
I'm working this problem for my math stat class. Here is what I have for it.

First of all, is this the correct method for finding MGF? I thought it was but I don't understand the answers I am getting.

How do I determine my values for t? For both I have t not equal to 0 because t is in the denominator.

Hey joypav! ;)

More accurately, we have:
$$M_X(t) = E(e^{tX}) = \int_0^2 f(x)e^{tx}dx$$
It seems you have split up the 2 contributions, but we really need their sum.

I haven't checked your calculations, but we will indeed end up with a $t$ in the denominator.
And if we take the limit for $t\to 0$, we should find that $M_X(0)=\lim\limits_{t\to 0} M_X(t) = 1$.
 
I like Serena said:
Hey joypav! ;)

More accurately, we have:
$$M_X(t) = E(e^{tX}) = \int_0^2 f(x)e^{tx}dx$$
It seems you have split up the 2 contributions, but we really need their sum.

I haven't checked your calculations, but we will indeed end up with a $t$ in the denominator.
And if we take the limit for $t\to 0$, we should find that $M_X(0)=\lim\limits_{t\to 0} M_X(t) = 1$.

Okay, that's what I was missing was summing them. Thanks!
 
If we sum them we are just left with 2, correct? x+2-x?

Then when I integrate I get 2(e^2t-1)/t. But when I apply L'hospitals I get 4. I must be making an error.
 
joypav said:
If we sum them we are just left with 2, correct? x+2-x?

Then when I integrate I get 2(e^2t-1)/t. But when I apply L'hospitals I get 4. I must be making an error.

Without checking your calculations, I conclude that:
$$M_X(t) = \int_0^1 e^{tx}xdx + \int_1^2 e^{tx}(2-x)dx
= \left(\frac{e^t}{t} - \frac{e^{t}-1}{t^2}\right) + \left(-\frac{e^t}{t} + \frac{e^{2t}-e^{t}}{t^2}\right)
= \frac{e^{2t}-2e^t + 1}{t^2} = \left(\frac{e^t-1}{t}\right)^2
$$
And:
$$\lim_{t\to 0}\frac{e^t-1}{t} \overset{L'H\hat opital}{=} \lim_{t\to 0}\frac{e^t}{1} = 1
$$
(For the record, mister L'Hôpital was French, and I feel we owe him the respect to at least spell his name properly, although to be fair, when he actually lived, his name was spelled L'Hospital. ;))
 

Similar threads

  • · Replies 5 ·
Replies
5
Views
3K
  • · Replies 1 ·
Replies
1
Views
3K
  • · Replies 4 ·
Replies
4
Views
2K
  • · Replies 2 ·
Replies
2
Views
2K
  • · Replies 1 ·
Replies
1
Views
2K
  • · Replies 4 ·
Replies
4
Views
3K
  • · Replies 2 ·
Replies
2
Views
1K
  • · Replies 5 ·
Replies
5
Views
2K
  • · Replies 36 ·
2
Replies
36
Views
6K
  • · Replies 17 ·
Replies
17
Views
3K