Finding the sum of a series by grouping

Click For Summary

Homework Help Overview

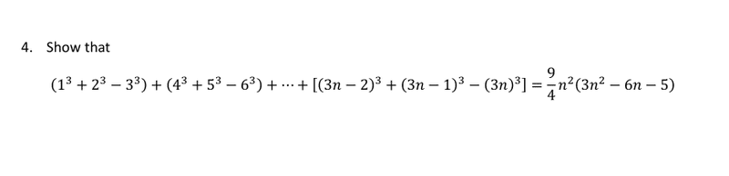
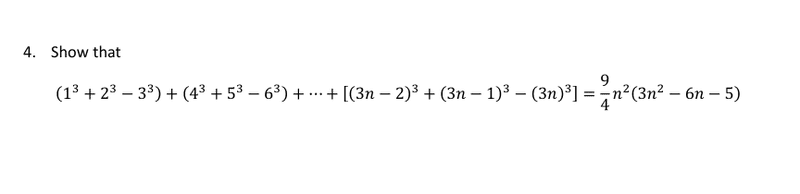
The discussion revolves around finding the sum of a series involving the expression (3n-2)^3 +(3n-1)^3 -(3n)^3. Participants explore various methods for simplifying or grouping the terms to arrive at a solution.

Discussion Character

  • Exploratory, Assumption checking, Mathematical reasoning

Approaches and Questions Raised

  • Participants discuss the possibility of simplifying the expression and question the validity of different methods, including grouping terms and using mathematical induction. Some suggest using known formulas for summing powers of n.

Discussion Status

There is an ongoing exploration of different approaches, with some participants suggesting the use of mathematical induction and others questioning the original poster's understanding of simplification methods. Guidance has been offered regarding regrouping terms and utilizing summation laws.

Contextual Notes

Participants note the potential need for specific instructions or formulas related to summing powers, which may influence the approach taken in solving the problem.

sooyong94
Messages
173
Reaction score
2

Homework Statement


upload_2016-9-3_16-57-5.png


Homework Equations


Summation

The Attempt at a Solution


I know I could have simplified (3n-2)^3 +(3n-1)^3 -(3n)^3 and put the formulas in but I wonder is there any other method (I was thinking about grouping the terms, but to no avail) to work this out.
 
Physics news on Phys.org
sooyong94 said:

Homework Statement


View attachment 105435

Homework Equations


Summation

The Attempt at a Solution


I know I could have simplified (3n-2)^3 +(3n-1)^3 -(3n)^3 and put the formulas in but I wonder is there any other method (I was thinking about grouping the terms, but to no avail) to work this out.

You can use mathematical induction.
 
sooyong94 said:

Homework Statement


upload_2016-9-3_16-57-5-png.105435.png

Homework Equations


Summation

The Attempt at a Solution


I know I could have simplified (3n-2)^3 +(3n-1)^3 -(3n)^3 and put the formulas in but I wonder is there any other method (I was thinking about grouping the terms, but to no avail) to work this out.
Are you given a set of instructions for some group of problems?

As @Math_QED mention, it does look like a problem typically solved by using induction. However, if you have been given formulas for summing various powers of n, in particular n3, then you can do this using such a formula.
 
sooyong94 said:

Homework Statement


View attachment 105435

The Attempt at a Solution


I know I could have simplified (3n-2)^3 +(3n-1)^3 -(3n)^3 and put the formulas in but I wonder is there any other method (I was thinking about grouping the terms, but to no avail) to work this out.

Hey @sooyong94,

In your post, I do not understand what you mean by "could have simplified ##(3n-2)^3 +(3n-1)^3 -(3n)^3##. " Could you explain how this simplification method works to confirm the validity of the given equation (Problem Statement)?

If you have memorized summation laws (or have access to a table), then regrouping is always a viable way to try on these problems. Regrouping is just the Associative Property of Addition.
 
Last edited by a moderator:
sooyong94 said:

Homework Statement


View attachment 105435

Homework Equations


Summation

The Attempt at a Solution


I know I could have simplified (3n-2)^3 +(3n-1)^3 -(3n)^3 and put the formulas in but I wonder is there any other method (I was thinking about grouping the terms, but to no avail) to work this out.
you can write the terms as ##[(3n-2)^3 +(3n-1)^3 +(3n)^3] - [2(3n)^3]## and sum the terms in the brackets separately. What do you get if you write out the sum of the first brackets?
Then use the theorem ##\sum_1^n k^3=\left(\sum_1^n k \right)^2##.

https://proofwiki.org/wiki/Sum_of_Sequence_of_Cubes
 
##\sum_1^n{[(3k-2)^3 +(3k-1)^3 +(3k)^3]} =\sum_1^{3n}{k^3}##
and ##\sum_1^n{(3k)^3}=3^3\sum_1^n{k^3}##
Then use the theorem ##\sum_1^n k^3=\left(\sum_1^n k \right)^2##
 

Similar threads

  • · Replies 2 ·
Replies
2
Views
2K
  • · Replies 13 ·
Replies
13
Views
2K
  • · Replies 2 ·
Replies
2
Views
2K
  • · Replies 1 ·
Replies
1
Views
2K
  • · Replies 11 ·
Replies
11
Views
2K
  • · Replies 10 ·
Replies
10
Views
3K
  • · Replies 3 ·
Replies
3
Views
2K
  • · Replies 2 ·
Replies
2
Views
2K
  • · Replies 4 ·
Replies
4
Views
2K
  • · Replies 4 ·
Replies
4
Views
1K