Formula: velocity of circular orbit wrt Schwartzschild metric

Click For Summary

Discussion Overview

The discussion revolves around the calculation of the velocity of an object in a circular orbit within the context of the Schwarzschild metric in general relativity. Participants explore various equations and concepts related to circular orbits, proper distances, and the implications of gravitational time dilation from different observational perspectives.

Discussion Character

  • Technical explanation
  • Mathematical reasoning
  • Debate/contested
  • Meta-discussion

Main Points Raised

  • Some participants reference equations from external sources, including Wikipedia and lecture notes, to establish a framework for discussing circular orbits in the Schwarzschild metric.
  • There is a discussion about the proper distance and the conditions under which certain equations apply, specifically noting that for a circular orbit, both distance r and proper distance s are constant.
  • One participant mentions the relationship between the radius of a circular orbit and specific angular momentum, suggesting that this can be used to derive the velocity of an orbiting object.
  • Another participant expresses confusion regarding the terminology of "momentum" in relation to specific angular momentum, clarifying that it refers to angular momentum per unit mass.
  • Concerns are raised about the measurement of velocity from different observational perspectives, particularly from an observer at infinity versus a hovering observer at the same altitude.
  • Participants share tips on using LaTeX for mathematical expressions, indicating some technical difficulties encountered during the discussion.
  • There are mentions of issues with the forum's interface, particularly regarding the posting and editing of messages, which leads to a meta-discussion about user experience on the platform.

Areas of Agreement / Disagreement

Participants express varying levels of understanding and confusion regarding the equations and concepts discussed. While some points are clarified, there remains uncertainty about specific terms and the implications of the calculations, indicating that multiple competing views and interpretations exist.

Contextual Notes

Some participants note the importance of ensuring that mathematical expressions are correctly formatted in LaTeX, highlighting the potential for errors in notation that could affect the clarity of the discussion. Additionally, there are unresolved issues related to the forum's functionality that may impact user engagement.

Who May Find This Useful

This discussion may be of interest to those studying general relativity, particularly in relation to the Schwarzschild metric, as well as individuals seeking to understand the implications of gravitational effects on orbital mechanics.

Buzz Bloom
Gold Member
Messages
2,517
Reaction score
465
TL;DR
I need help to figure out how the formula for the velocity of a circular orbit can be derived from the Schwartzschild metric .
Below are equations/formulas/text from
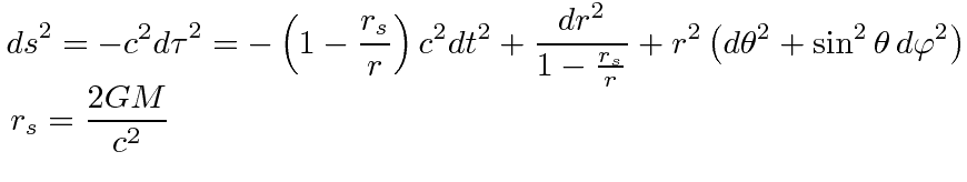
SchwartzschildMetric.png
SchwartzschildCircularOrbitEq.png

I apologize for not remembering the source for the "v=" equation, or for my inability to find it again.

For a circular orbit, the distance r and proper distance s are both constant. Therefore
ds = dr = 0.​
Assume the coordinates are such that the orbit has:
sin ϑ = 1, and dϑ = 0.​
Therefore the metric an be written
##{r^2 {dθ}^2} = {c^2} /sqrt {1-r_s/r}} {dt}^2 ##
## r = 1##
 
Astronomy news on Phys.org
Below are equations/formulas/text from
(I have no idea why the attachments do not get displayed.)

View attachment 264281
View attachment 264282

I apologize for not remembering the source for the "v=" equation, or for my inability to find it again.

For a circular orbit, the distance r and proper distance s are both constant. Therefore
ds = dr = 0.​
Assume the coordinates are such that the orbit has:
sin ϑ = 1, and dϑ = 0.​

The metric can now be written:
## r {\frac {dθ} {dt}} = c {\sqrt {{1-{r_s}/r}} } ## .​
 
Last edited:
See equation 7.52 in Carroll's GR lecture notes, which relates the radius ##r_c## of a circular orbit to the specific angular momentum ##L##, and ##L=r_c^2(d\phi/d\tau)##.

Once you have ##d\phi/d\tau## you can use the fact that the four velocity is normalised to 1 to write ##1=g_{00}\left(\frac{dt}{d\tau}\right)^2+g_{33}\left(\frac{d\phi}{d\tau}\right)^2## with the metric components evaluated at ##r=r_c, \theta=\pi/2##. Now you have the only two non-zero components of the four velocity of your orbiting object.

Now you write down the four velocity of a hovering observer. This is just ##(1/\sqrt{g_{00}},0,0,0)##. The inner product of this with the four velocity of your orbiting object is the Lorentz gamma factor associated with that orbit. That is, ##\gamma=\sqrt{g_{00}}\frac{dt}{d\tau}##. You can calculate the velocity from here, I think.
 
Ibix said:
See equation 7.52 in Carroll's GR lecture notes, which relates the radius of a circular orbit to the specific angular momentum ...
You can calculate the velocity from here, I think.

Hi Ibix:

Thank you very much for this post. Although I know what tensors are, and I have a very tiny amount of understanding about the mathematical manipulation of them, I think I might be able to follow your suggestions and make the calculation I want.

I am a bit confused by the equation for L. L is called "momentum", but the units appear to be length.

However, I am primarily interested in the result from the viewpoint of an observer at infinity.

Regards,
Buzz
 
Last edited:
Buzz Bloom said:
I am a bit confused by the equation for L. L is called "momentum", but the units appear to be length.
##L## isn't momentum, it's specific angular momentum, the angular momentum per unit mass. The units are correct for that. It'll drop out of the maths anyway.
Buzz Bloom said:
However, I am primarily interested in the result from the viewpoint of an observer at infinity.
The process I outlined will get you the velocity measured by a hovering observer at the same altitude. An observer at infinity would measure it to travel slower by a factor of ##1/\sqrt{1-r_s/r_c}## due to gravitational time dilation.

You commented in your other thread that you were having trouble with LaTeX, and the error above is an unbalanced bracket. My recommendation is to write the brackets for anything first, then come back and fill in the contents. So to write ##\frac{1}{3+\sqrt{2}}## I'd write \frac{}{}, and I know the brackets for the frac command are correct. Then I go back and fill in the numerator, \frac{1}{}. Then I start to fill in the denominator, \frac{1}{3+}, until I notice I need a command here too. So I do it and its brackets, \frac{1}{3+\sqrt{}}, and finally fill in its brackets, \frac{1}{3+\sqrt{2}}.

Another tip is not to try to do the whole thing at once. So if writing the Schwarzschild line element, write ds^2=\left(\right)dt^2 (note the balanced brackets!) and preview it. If it works, fill in the 1-\frac{r_S}{r} and preview. If it works, move on to the ##dr^2## term. If any step doesn't work you know that whatever you did wrong is in the little bit you just added, so you know where to look.
 
  • Like
Likes   Reactions: Buzz Bloom
Ibix said:
You commented in your other thread that you were having trouble with LaTeX, and the error above is an unbalanced bracket.
Hi Ibix:

Thank you for your advice.

While I was working with Latex to express the simplification of the metric, some very strange things happened while I was looking at a Preview. I do not know exactly what I did on seveal occassions, but I think I must have accidently hit a key that invoked some mysterious function. The result was that the post I was working on vanished from my screen, and I was instead seeing some other aspect of PF, like for example (1) post#1 of the thread, or (2) a list of forums. From this mess, I later found out that I had created two different copies of the same thread. I am now more than ever fearful of messing something up when I use Preview.

I have decided to put a message at the top of any post with Latex saying the post is a work in progress and not ready for review. When I decide the post is ready for review, I will remove the message at the top. What do you think about this process?

BTW, one of the odd results is a new thread in the Astronomy and Astrophysics forum at the top of the list of threads with my icon identifying it as my thread, but having no Prefix, no Title, no Summary, and no Text.

Regards,
Buzz
 
There do seem to have been some issues with LaTeX over the last few days. However, changing to different pages suggests to me that your browser had taken focus away from the edit box. For example, at least some browsers use the backspace key as a back button. Try deliberately clicking somewhere else (e.g. one click somewhere in the middle of this post) then hitting backspace and see if you go back to your previous page. I've had similar happen to me. The solution is to always click on the edit box before you start typing again.
Buzz Bloom said:
BTW, one of the odd results is a new thread in the Astronomy and Astrophysics forum at the top of the list of threads with my icon identifying it as my thread, but having no Prefix, no Title, no Summary, and no Text.
You mean above the pinned links? That's been there for a while now (although I admit I looked straight past it for some time), and should be present in all forums. It's not a thread. It's another way of creating a new thread in case clicking the "post thread" button is too much effort for you. Start typing a title and it'll pop up an edit box where you can put in the body of the first post of a new thread.
 
Ibix said:
Try deliberately clicking somewhere else (e.g. one click somewhere in the middle of this post) then hitting backspace and see if you go back to your previous page.
Ibix said:
It's another way of creating a new thread in case clicking the "post thread" button is too much effort for you. Start typing a title and it'll pop up an edit box where you can put in the body of the first post of a new thread.
Hi "Ibix:

I highlighted a character in your post and hit the space bar. Your post disappeared, and the following list that usually appears at the bottom of a thread appeared.
Related Threads on Formula: velocity of circular orbit wrt Schwartzschild metric​

Thanks for the explanation about starting a new thread. I have not noticed that before when I started a new thread. I guess that it is either a new PF feature, or I am just careless about seeing what is before my eyes.

Regards,
Buzz
 

Similar threads

  • · Replies 2 ·
Replies
2
Views
2K
  • · Replies 2 ·
Replies
2
Views
3K
  • · Replies 6 ·
Replies
6
Views
3K
  • · Replies 11 ·
Replies
11
Views
2K
  • · Replies 3 ·
Replies
3
Views
3K
  • · Replies 4 ·
Replies
4
Views
2K
  • · Replies 43 ·
2
Replies
43
Views
5K
Replies
1
Views
1K
  • · Replies 3 ·
Replies
3
Views
2K
  • · Replies 15 ·
Replies
15
Views
2K