Four-spin interactions the Ising model

Click For Summary
SUMMARY

The discussion focuses on deriving the mean field Hamiltonian for a fully connected Ising model with four-spin interactions in a transverse field. The mean field Hamiltonian is expressed as $$H=-\sum_{i PREREQUISITES

  • Understanding of the Ising model and its applications in statistical mechanics.
  • Familiarity with mean field theory and its implications in spin systems.
  • Knowledge of Hamiltonian mechanics in the context of quantum systems.
  • Basic grasp of thermodynamic limits and their significance in statistical physics.
NEXT STEPS
  • Research the derivation of mean field Hamiltonians in various spin models.
  • Explore the implications of four-spin interactions in quantum Ising models.
  • Study the thermodynamic limit and its effects on spin correlation functions.
  • Learn about the role of external fields in modifying spin interactions in the Ising model.
USEFUL FOR

Physicists, particularly those specializing in statistical mechanics and quantum systems, as well as students tackling advanced topics in condensed matter physics.

AdeBlackRune
Messages
9
Reaction score
0

Homework Statement


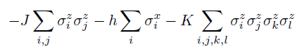
Let us consider a fully connected Ising model with four-spin interaction in a transverse field
qq.png

Write the mean field Hamiltonian.

Homework Equations


none

The Attempt at a Solution


I know that the mean value of the product of two spins is equal, in the thermodynamic limit to the product of the mean values. Is the same for the four spin terms? I'm not able to show it.
qq1.png
 

Attachments

  • qq.png
    qq.png
    2.4 KB · Views: 921
  • qq1.png
    qq1.png
    2.3 KB · Views: 549
Physics news on Phys.org
The mean field Hamiltonian would be: $$H=-\sum_{i<j=1}^N J_{ij} \langle \sigma_i \rangle \sigma_j - \sum_{i=1}^N h_i \sigma_i$$with $J_{ij}$ the coupling constant between two spins and $h_i$ the external field.Can someone help me? Thank you in advance!
 

Similar threads

  • · Replies 0 ·
Replies
0
Views
1K
Replies
7
Views
2K
  • · Replies 1 ·
Replies
1
Views
2K
  • · Replies 2 ·
Replies
2
Views
3K
  • · Replies 2 ·
Replies
2
Views
2K
Replies
8
Views
3K
  • · Replies 1 ·
Replies
1
Views
2K
Replies
5
Views
4K
  • · Replies 8 ·
Replies
8
Views
3K
  • · Replies 8 ·
Replies
8
Views
4K