Fourier transform of a power signal or a voltage signal

Click For Summary
SUMMARY

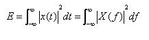
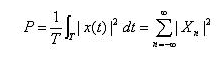
The discussion centers on the application of the Fourier transform to calculate the power of a signal. It clarifies that the function f(x) in the context of Fourier transforms represents the original signal x(t), not its power. The Fourier transform, denoted as X(f) or X_n, is utilized to analyze the frequency components of the signal, and it is essential to take the absolute value of the result after performing the Fourier transform to obtain meaningful power information.

PREREQUISITES
  • Understanding of Fourier transform principles
  • Familiarity with signal representation (x(t))
  • Knowledge of frequency domain analysis
  • Basic concepts of power in electrical signals
NEXT STEPS
  • Study the properties of the Fourier transform in signal processing
  • Learn how to compute the power spectral density of a signal
  • Explore the relationship between time-domain and frequency-domain representations
  • Investigate the implications of taking the absolute value in Fourier analysis
USEFUL FOR

Electrical engineers, signal processing students, and anyone involved in analyzing power signals using Fourier transforms will benefit from this discussion.

Jiho
Messages
20
Reaction score
4

Homework Statement


By using Fourier transform, I want to calculate power of signal. I confuse that f(x) in attached equation represents voltage or power. Is that possible when f(x) means power to use Fourier transform.

Homework Equations


upload_2019-1-17_17-5-7.png


The Attempt at a Solution

 

Attachments

  • upload_2019-1-17_16-12-19.png
    upload_2019-1-17_16-12-19.png
    1.5 KB · Views: 426
  • upload_2019-1-17_16-12-33.png
    upload_2019-1-17_16-12-33.png
    1.5 KB · Views: 432
  • upload_2019-1-17_16-17-24.png
    upload_2019-1-17_16-17-24.png
    1.5 KB · Views: 442
  • upload_2019-1-17_17-5-7.png
    upload_2019-1-17_17-5-7.png
    1.6 KB · Views: 668
Physics news on Phys.org
In all of those equations, ##x(t)## is your original signal (not its power) and ##X(f)## or ##X_n## refer to the Fourier transform of ##x(t)##. Take the absolute value AFTER you Fourier Transform.
 

Similar threads

  • · Replies 5 ·
Replies
5
Views
3K
Replies
1
Views
2K
  • · Replies 0 ·
Replies
0
Views
2K
  • · Replies 3 ·
Replies
3
Views
2K
  • · Replies 2 ·
Replies
2
Views
2K
  • · Replies 17 ·
Replies
17
Views
3K
  • · Replies 11 ·
Replies
11
Views
2K
Replies
4
Views
3K
  • · Replies 2 ·
Replies
2
Views
6K
  • · Replies 1 ·
Replies
1
Views
2K