Galois Groups and Minimum Polynomial

Click For Summary
SUMMARY

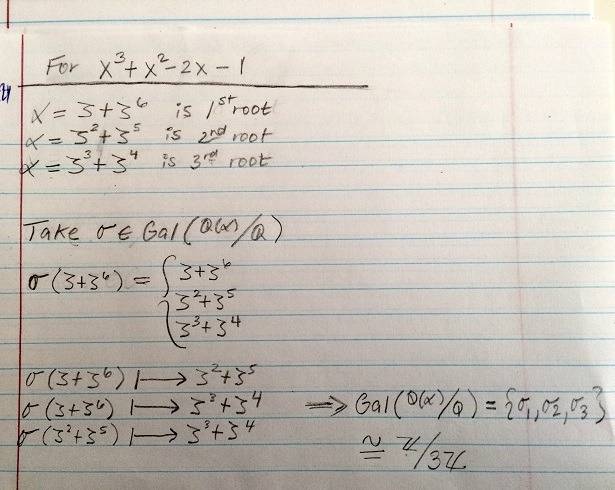
The discussion focuses on finding the minimal polynomial and roots of the algebraic element $\alpha = \zeta + \frac{1}{\zeta}$, where $\zeta$ is a primitive 7th root of unity. The derived polynomial is $p(x) = x^3 + x^2 - 2x - 1$, which is shown to have $\alpha$ as a root. To establish that this polynomial is minimal, two methods are proposed: demonstrating its irreducibility over $\mathbb{Q}[x]$ using the rational root theorem or analyzing the Galois group structure. The roots of the polynomial include $\alpha$, $\zeta^2 + \zeta^5$, and $\zeta^3 + \zeta^4.

PREREQUISITES
  • Understanding of Galois theory and Galois groups
  • Familiarity with minimal polynomials and irreducibility criteria
  • Knowledge of roots of unity and their properties
  • Proficiency in algebraic manipulation and polynomial equations
NEXT STEPS
  • Study the rational root theorem and its application in polynomial irreducibility
  • Explore Galois groups, specifically the structure of $\text{Gal}(\mathbb{Q}(\zeta)/\mathbb{Q})$
  • Learn about normal extensions and their significance in field theory
  • Investigate the properties of cyclotomic fields and their minimal polynomials
USEFUL FOR

Mathematicians, algebraists, and students studying field theory, particularly those interested in Galois theory and polynomial equations.

mathjam0990
Messages
28
Reaction score
0
Question

View attachment 5541

This is what I have done so far. I was wondering if anyone could verify that I found the correct minimum polynomial and roots? If I am incorrect, could someone please help me by explaining how I would find the min polynomial and roots? Thank you.

View attachment 5542View attachment 5543
 

Attachments

  • ab alg Q.jpg
    ab alg Q.jpg
    40.8 KB · Views: 113
  • ab alg A.jpg
    ab alg A.jpg
    45.4 KB · Views: 119
  • ab alg A2.jpg
    ab alg A2.jpg
    40.6 KB · Views: 118
Physics news on Phys.org
Your algebra seems to check out.

I would have simplified the working of finding the minimal polynomial of $\alpha$ like so:

$\alpha^3 = \left(\zeta + \dfrac{1}{\zeta}\right)^3 = \zeta^3 + 3\zeta + \dfrac{3}{\zeta} + \dfrac{1}{\zeta^3}$

$= \zeta^3 + \dfrac{1}{\zeta^3} + 3\alpha = \zeta^3 + \zeta^4 + 3\alpha$

and:

$\alpha^2 = \left(\zeta + \dfrac{1}{\zeta}\right)^2 = \zeta^2 + 2 + \dfrac{1}{\zeta^2} = \zeta^2 + \zeta^5 + 2$

so that:

$\alpha^3 + \alpha^2 = \zeta^3 + \zeta^4 + \zeta^2 + \zeta^5 + 3\alpha + 2$

$= \zeta + \zeta^2 + \zeta^3 + \zeta^4 + \zeta^5 + \zeta^6 + 2\alpha + 2$

$= -1 + 2\alpha + 2$, so that:

$\alpha^3 + \alpha^2 - 2\alpha - 1 = 0$.

However, this only shows that $\alpha$ is a root of the cubic $p(x) = x^3 + x^2 - 2x - 1$. To show this is the *minimal* polynomial you have two options:

1) Show it is irreducible over $\Bbb Q[x]$. I would use the rational root theorem (Gauss' lemma).

2) Show that $\sigma_6$ generates a subgroup of order 2 of $\text{Gal}(\Bbb Q(\zeta)/\Bbb Q)$, and that the fixed field of this subgroup is $\Bbb Q(\alpha)$.

You also claim without proof that the roots of $p$ are:

1) $\alpha = \zeta + \zeta^6$ (no need to prove this)
2) $\zeta^2 + \zeta^5$
3) $\zeta^3 + \zeta^4$

I would mention that this is because any automorphism of $\text{Gal}(\Bbb Q(\zeta)/\Bbb Q)$ sends a root of $p$ to another root of $p$.

Since $\Bbb Q(\alpha)$ contains all the roots of $p$, it's a normal extension (thus Galois). Clearly, its Galois group is:

$\dfrac{\text{Gal}(\Bbb Q(\zeta)/\Bbb Q)}{\text{Gal}(\Bbb Q(\zeta)/\Bbb Q(\alpha))} \cong \Bbb Z_6/\langle 3\rangle \cong \Bbb Z_3$

(recall that $3$ is the sole element of order 2 in $\Bbb Z_6$-just as complex-conjugation restricted to $\Bbb Q(\zeta)$ (the map $\sigma_6 : \zeta \mapsto \zeta^6 = \zeta^{-1} = \overline{\zeta}$) is the sole automorphism of the Galois group of $\Phi_7(x)$ of order 2).
 

Similar threads

  • · Replies 0 ·
Replies
0
Views
3K
  • · Replies 1 ·
Replies
1
Views
2K
  • · Replies 14 ·
Replies
14
Views
5K
  • · Replies 3 ·
Replies
3
Views
2K
Replies
1
Views
3K
  • · Replies 16 ·
Replies
16
Views
5K
  • · Replies 3 ·
Replies
3
Views
4K
  • · Replies 2 ·
Replies
2
Views
2K
  • · Replies 3 ·
Replies
3
Views
2K
  • · Replies 6 ·
Replies
6
Views
5K