Help to find asymptotic solution of linear ode

  • Context: MHB 
  • Thread starter Thread starter flanker
  • Start date Start date
  • Tags Tags
    Linear Ode
Click For Summary

Discussion Overview

The discussion revolves around finding asymptotic solutions for ordinary differential equations (ODEs) and the challenges associated with applying the inverse Laplace transform to these solutions. Participants are exploring methods to approximate analytical solutions to facilitate this process.

Discussion Character

  • Exploratory
  • Technical explanation
  • Debate/contested

Main Points Raised

  • One participant expresses difficulty in finding asymptotic solutions for ODEs and seeks methods to approximate these solutions before applying the inverse Laplace transform.
  • Another participant provides a detailed approach using the Laplace transform, outlining the steps to derive the solution and prepare for the inverse Laplace transform.
  • A participant mentions that the initial answers obtained from the equations are too complex to apply the inverse Laplace transform effectively.
  • One participant questions the appropriateness of applying the inverse Laplace transform to the solutions of the ODEs and requests clarification on the initial answer that requires this transform.
  • There is a request for direct communication to share an article related to the discussion.

Areas of Agreement / Disagreement

Participants do not appear to reach a consensus on the method of applying the inverse Laplace transform to the solutions of the ODEs, with some expressing confusion and others providing differing perspectives on the approach.

Contextual Notes

There are indications of missing assumptions and the complexity of the initial answers that may affect the application of the inverse Laplace transform. The discussion does not resolve these complexities.

flanker
Messages
4
Reaction score
0
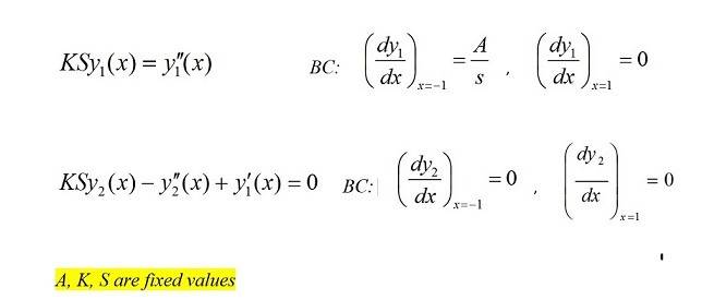
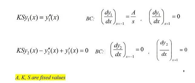
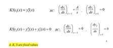
I have a trouble with ODE, I try to find asymptotic solution for odes which presented in pics. But I can’t. Please introduce a method which I solve these equations. I can solve these equations analytically but after solution, inverse Laplace transform must apply to find final answer. In analytical solution inverse Laplace transform near to impossible. Since I want a way to approximate analytical solution to these equations afterwards I can apply inverse Laplace transform to find final answer.
thanks
View attachment 5647
 

Attachments

  • 2s.jpg
    2s.jpg
    12.8 KB · Views: 130
Physics news on Phys.org
flanker said:
I have a trouble with ODE, I try to find asymptotic solution for odes which presented in pics. But I can’t. Please introduce a method which I solve these equations. I can solve these equations analytically but after solution, inverse Laplace transform must apply to find final answer. In analytical solution inverse Laplace transform near to impossible. Since I want a way to approximate analytical solution to these equations afterwards I can apply inverse Laplace transform to find final answer.
thanks

Hi flanker! Welcome to MHB! ;)

Suppose $Y_1(s)$ is the Laplace transform of $y_1(x)$, then from the tables, we can see:
\begin{array}{lll}KSy_1 &= y_1'' & \text{Initial equation}\\
KS Y_1&= s^2 Y_1 - sy_1(0)-y_1'(0) & \text{Laplace transform} \\
Y_1 &= \frac{sy_1(0)+y_1'(0)}{s^2-KS} & \text{Solve for }Y_1 \\
Y_1 &= y_1(0)\frac{s}{s^2-KS} + y_1'(0)\frac{1}{s^2-KS} & \text{Prepare for Inverse Laplace transform}\\
y_1 &= y_1(0) \cosh(x\sqrt{KS}) + y_1'(0) \sinh(x\sqrt{KS}) & \text{Inverse Laplace transform}
\end{array}
Now we can fill in the boundary conditions to find $y_1(0)$ respectively $y_1'(0)$.
 
Thank you very much dear for your kindly attention to my question. but I applied a laplace transform to a PDE for x then these equation are producted. I must solve these equations and apply the inverse laplace transform to find final answer. But the initial answer of these equations are too complicated that I can't apply inverse laplace transform.:(
 
flanker said:
Thank you very much dear for your kindly attention to my question. but I applied a laplace transform to a PDE for x then these equation are producted. I must solve these equations and apply the inverse laplace transform to find final answer. But the initial answer of these equations are too complicated that I can't apply inverse laplace transform.:(

There seems to be some misunderstanding.
It doesn't make sense to me to apply an inverse laplace transform to the solution of these ODE's.

Anyway, the inverse Laplace transform of for instance $\cosh(x\sqrt{KS})$ is $\frac 12\delta(t-\sqrt{KS}) + \frac 12\delta(t+\sqrt{KS})$.

Maybe you can provide the initial answer that an inverse laplace transform should be applied to?
And perhaps the original problem?
 
Dear sir can u give your mail which i want to send u an article
 
How about attaching it to this thread?
 

Attachments

  • 1.jpg
    1.jpg
    32.4 KB · Views: 124

Similar threads

  • · Replies 1 ·
Replies
1
Views
2K
  • · Replies 5 ·
Replies
5
Views
1K
  • · Replies 3 ·
Replies
3
Views
4K
  • · Replies 6 ·
Replies
6
Views
2K
  • · Replies 7 ·
Replies
7
Views
3K
  • · Replies 2 ·
Replies
2
Views
3K
  • · Replies 3 ·
Replies
3
Views
4K
  • · Replies 8 ·
Replies
8
Views
3K
  • · Replies 1 ·
Replies
1
Views
2K
  • · Replies 2 ·
Replies
2
Views
3K