How Can I Solve for d in This Equation and What Software Can Verify It?

  • Context: Undergrad 
  • Thread starter Thread starter Mech_LS24
  • Start date Start date
  • Tags Tags
    Approach
Click For Summary

Discussion Overview

The discussion revolves around solving an unspecified equation for the variable "d" and seeks recommendations for free software tools to verify the solution. The scope includes mathematical reasoning and potential computational approaches.

Discussion Character

  • Homework-related, Mathematical reasoning

Main Points Raised

  • One participant suggests using software like Desmos or Wolfram Alpha for solving the equation.
  • Another participant notes that the equation is likely a 10th order polynomial and may not be factorable, recommending Wolfram Alpha, Mathematica, or Matlab as potential tools.
  • A different participant proposes specific substitutions (##x=0.033^2 -d^2## and ##y=0.033^2+d^2##) and mentions the Weierstraß substitution as a method to approach the problem.

Areas of Agreement / Disagreement

Participants present multiple approaches and software recommendations, but there is no consensus on the best method to solve the equation or the specific nature of the equation itself.

Contextual Notes

There are limitations regarding the specifics of the equation and the assumptions underlying the proposed substitutions and software recommendations.

Mech_LS24
Messages
148
Reaction score
16
TL;DR
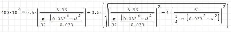
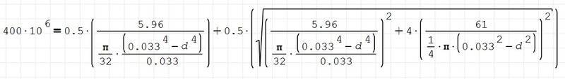
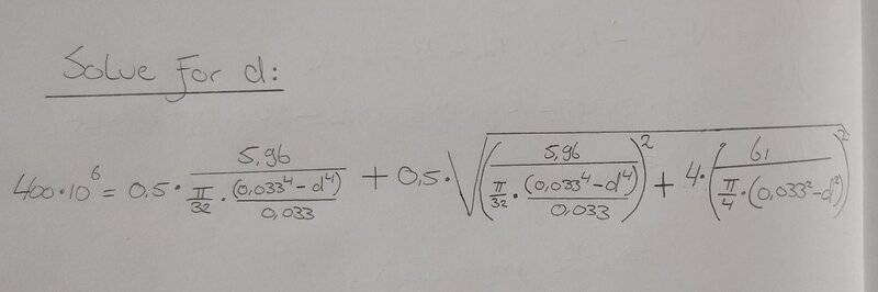
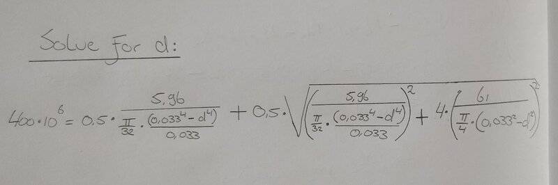
I would like to solve the equation for "d".
Dear mathematicians,

I am getting stuck solving this equation for "d". And what (free)software would you recommend to check this equation?
IMG_20220827_130742__01.jpg


SolveFord.jpg


Thanks a lot!
 
Physics news on Phys.org
Use desmos or something or wolfram alpha
 
  • Like
Likes   Reactions: topsquark and Mech_LS24
Mech_LS24 said:
Summary: I would like to solve the equation for "d".

Dear mathematicians,

I am getting stuck solving this equation for "d". And what (free)software would you recommend to check this equation?
View attachment 313333

View attachment 313334

Thanks a lot!
Unless something cancels it's going to be a 10th order polynomial. And given your numbers it's highly unlikely to be factorable. W|A, Mathematica, or Matlab would be my suggestions.

-Dan
 
  • Like
Likes   Reactions: fresh_42 and Mech_LS24
If you really want to attack that expression, I recommend the substitutions ##x=0.033^2 -d^2 ## and ##y=0.033^2+d^2##. And you should consider using a Weierstraß substitution!
 
  • Like
Likes   Reactions: Mech_LS24, topsquark and malawi_glenn

Similar threads

  • · Replies 12 ·
Replies
12
Views
4K
  • · Replies 2 ·
Replies
2
Views
3K
  • · Replies 2 ·
Replies
2
Views
2K
  • · Replies 5 ·
Replies
5
Views
1K
  • · Replies 8 ·
Replies
8
Views
3K
  • · Replies 1 ·
Replies
1
Views
3K
  • · Replies 11 ·
Replies
11
Views
3K
  • · Replies 3 ·
Replies
3
Views
2K
  • · Replies 3 ·
Replies
3
Views
2K
Replies
10
Views
3K