How Do You Calculate Geometric Buckling for Cylinders and Spheres?

Click For Summary
SUMMARY

The discussion centers on calculating geometric buckling for cylinders and spheres, specifically addressing confusion regarding extrapolated distances (R' and H') and unit conversions. Participants highlight the importance of understanding the relationship between volume and geometric buckling calculations. A tutorial on the derivation and application of these concepts is provided, along with references to previous discussions for additional context.

PREREQUISITES
  • Understanding of geometric and material buckling principles
  • Familiarity with unit conversions in physics
  • Basic knowledge of cylindrical and spherical geometry
  • Ability to interpret and apply mathematical formulas related to volume
NEXT STEPS
  • Review the tutorial on geometric and material buckling provided in the discussion
  • Study the derivation of buckling formulas for cylinders and spheres
  • Learn about unit conversion techniques in physics
  • Explore advanced topics in structural stability analysis
USEFUL FOR

Students and professionals in engineering, particularly those specializing in structural analysis, as well as anyone involved in the study of material properties and stability under load.

stressedphysstudent
Messages
1
Reaction score
0
Mentor note: Thread moved from a different forum section, so missing the homework template.
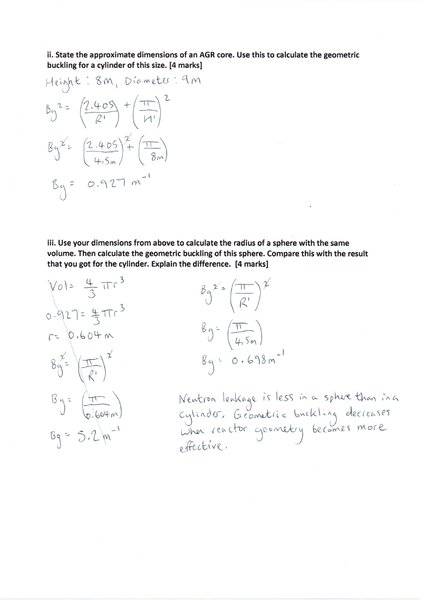
I'm very confused about the attached questions on geometric buckling of a cylinder and a sphere.

For this question I'm not given a value for the extrapolated distances (for R' and H') so I simply put the bare units in. The second question asks me to use a volume calculated from the first question, but my units are in m^-1.

I'm basically very confused about this question and any help would be much appreciated!
 

Attachments

  • img001.jpg
    img001.jpg
    17.7 KB · Views: 489
Last edited by a moderator:
Physics news on Phys.org

Similar threads

Replies
3
Views
2K
  • · Replies 40 ·
2
Replies
40
Views
8K
Replies
31
Views
4K
Replies
0
Views
3K
  • · Replies 2 ·
Replies
2
Views
2K
  • · Replies 4 ·
Replies
4
Views
1K
  • · Replies 3 ·
Replies
3
Views
3K
Replies
1
Views
2K
  • · Replies 15 ·
Replies
15
Views
2K
Replies
7
Views
4K