How Does Colatitude Affect the Direction of Coriolis Force?

  • Thread starter Thread starter drop_out_kid
  • Start date Start date
  • Tags Tags
    Dynamics Inertial
Click For Summary
SUMMARY

The discussion focuses on the relationship between colatitude and the direction of the Coriolis force. Participants clarify that "due north from a position at colatitude θ" refers to a direction that is not purely radial but rather influenced by the Earth's rotation. The Coriolis force is defined mathematically, and its direction is determined by the vector Ω, which is orthogonal to both the radial direction and due north. Understanding these relationships is crucial for accurately applying the Coriolis force in physics problems.

PREREQUISITES
  • Understanding of Coriolis force and its mathematical representation
  • Familiarity with colatitude and its implications in geophysics
  • Knowledge of vector mathematics, particularly orthogonal vectors
  • Basic principles of Earth's rotation and centrifugal force
NEXT STEPS
  • Study the mathematical formulation of the Coriolis force in rotating systems
  • Explore the concept of colatitude and its effects on geophysical phenomena
  • Learn about vector operations and their applications in physics
  • Investigate the implications of centrifugal force in relation to Coriolis effects
USEFUL FOR

Students and professionals in physics, meteorology, and geophysics who are looking to deepen their understanding of the Coriolis force and its directional properties in relation to Earth's rotation.

drop_out_kid
Messages
34
Reaction score
2
Homework Statement
I am stuck at getting the right direction of the coriolis force.. I can get the force amplitude by formula tho...
Relevant Equations
Coriolis force, centrifugal force
1650169278243.png


So I don't understand "due north from a position at colatitude ##\theta## " , whether how I translate it...

I keep getting that direction should be radial...(toward Earth CM)

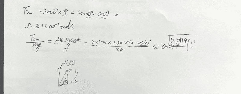
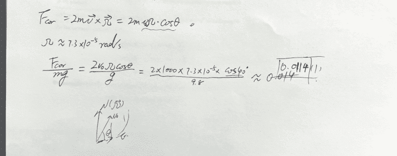
This is my work:

1650169455634.png


Thank you so much!
 
Physics news on Phys.org
drop_out_kid said:
Homework Statement:: I am stuck at getting the right direction of the coriolis force.. I can get the force amplitude by formula tho...
Relevant Equations:: Coriolis force, centrifugal force

View attachment 300106

So I don't understand "due north from a position at colatitude ##\theta## " , whether how I translate it...

I keep getting that direction should be radial...(toward Earth CM)

This is my work:

View attachment 300107

Thank you so much!
What is the direction of the vector ##\vec \Omega##? What directions are orthogonal to both that and due north?
 

Similar threads

  • · Replies 13 ·
Replies
13
Views
3K
  • · Replies 1 ·
Replies
1
Views
2K
  • · Replies 10 ·
Replies
10
Views
3K
Replies
3
Views
1K
  • · Replies 4 ·
Replies
4
Views
2K
  • · Replies 21 ·
Replies
21
Views
3K
Replies
40
Views
9K
  • · Replies 18 ·
Replies
18
Views
3K
Replies
11
Views
1K
  • · Replies 9 ·
Replies
9
Views
8K