How Does the Direction of Spring Force Affect the Calculation of Work Done?

  • Thread starter Thread starter Grawlix
  • Start date Start date
  • Tags Tags
    Speed Spring
Click For Summary

Homework Help Overview

The discussion revolves around the mechanics of spring forces and their impact on work done in a scenario involving a sled propelled by a compressed spring. The problem involves calculating the sled's speed as the spring returns to its uncompressed state and while still compressed, focusing on the relationship between spring force and work done.

Discussion Character

  • Conceptual clarification, Mathematical reasoning, Assumption checking

Approaches and Questions Raised

  • Participants explore the relationship between the spring force equation and the work done by the spring, questioning the implications of the negative sign in the force equation. There are discussions on energy transformations and how potential energy relates to work done.

Discussion Status

Participants are actively engaging with the concepts, with some suggesting that understanding energy transformations may clarify the confusion surrounding the signs in the equations. There is a recognition of the need to consider the direction of forces and energy flow in these calculations.

Contextual Notes

Some participants note the importance of understanding the physical meaning behind the equations rather than merely applying them, indicating a focus on conceptual understanding in the context of homework constraints.

Grawlix
Messages
3
Reaction score
0
I accidentally posted over in general questions before seeing that wasn't the proper place for this type of question. I'm not looking for the answer, as I have that available. I'm just trying to understand part of the process here.

Question:
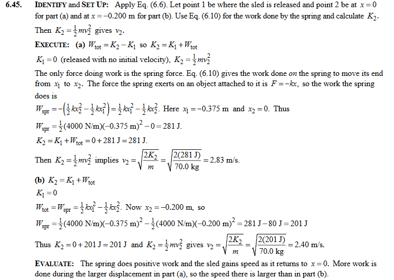
At a waterpark, sleds with riders are sent along a slippery, horizontal surface by the release of a large compressed spring. The spring, with force constant k = 40.0 N/cm and negligible mass, rests on the frictionless horizontal surface. One end is in contact with a stationary wall. A sled and rider with total mass 70.0 kg are pushed against the other end, compressing the spring 0.375 m. The sled is then released with zero initial velocity. What is the sled's speed when the spring (a) returns to its uncompressed length and (b) is still compressed 0.200 m?

Solution is attached.

My problem:
In part a, I understand that "Wspr = (1/2 kx22 - 1/2 kx12)", but I don't understand why it's equal to "- (1/2 kx22 - 1/2 kx12)". The solution says: "The force the spring exerts on an object attached to it is F = -kx so the work the spring does is Wspr = - (1/2 kx22 - 1/2 kx12)".

How does the Force being -kx directly related to the spring's total work value also being negative?
 

Attachments

  • Spring Problem.PNG
    Spring Problem.PNG
    25.5 KB · Views: 719
Physics news on Phys.org
Without the minus sign out front, the work done on the sled would be negative ... so the sled would lose kinetic energy. Does that make sense?

A better approach is to say that energy stored in the spring is converted to kinetic energy in the sled... then you do not need the work-energy stuff, and the signs come out right automatically.
 
Last edited:
  • Like
Likes   Reactions: Grawlix
I think I see what you mean. You're saying simply just to take 1/2 kx2: 1/2(4000N/m)(-0.375)2, which yields 281.25 J or roughly 281J?

From there, I know that there's 0 velocity at the instant of release, so K1 is 0. Total work done is simply the kinetic energy K2, which is equal to 281J. Therefore, with the kinetic energy formula:

281 J
= 1/2 mv2
281/(35) = v2
2.83 m/s = v

The solution I was provided with really is a lot more readable if I skip that big line that I was having trouble with! Thanks.
 
I am saying that when you write:
Grawlix said:
I understand that "Wspr = (1/2 kx22 - 1/2 kx12)",...
... then you are saying that when the spring decompresses in part (a) the sled would lose kinetic energy.
Does this make sense?
What do you conclude about the expression you wrote?

I was guessing that this was how came to talk like this:
I don't understand why it's equal to "- (1/2 kx22 - 1/2 kx12)".
What's changed here is that the second expression has an extra minus sign.
This minus sign does not mean the work is negative overall though. In fact it cannot mean that.

I was trying to guide your thinking about the physics before tackling the question you asked, which was:
How does the Force being -kx directly related to the spring's total work value also being negative?

The answer to your question is that it is because work is force times distance, and the expression for force has a minus sign in front, the expression for distance does not, so the expression for work must be end up with a minus sign out front.

The reason the force is has the minus sign is that it points in the opposite direction to the +x direction... it indicates the direction the force acts in. The sign for work shows you the direction that energy flows.

It's like we can say the force of gravity is ##F = -mg## (ie the force points "down" and "up" is positive), when something falls from ##y_1## to ##y_2## under gravity, then gravity does ##W=-mg(y_2-y_1)## work. See how the minus sign got in front there? Same with the spring equation.

This work is positive because ##y_1>y_2##.

If the object was lifted from ##y_1## to ##y_2## then the work is negative, because ##y_1<y_2##.

The last comment is that these problems are usually best completed by considering the energy transformations involved, then constructing the equation that describes the transformation, rather than trying to remember which euation is the right one and getting it the right way around and so on.
 
  • Like
Likes   Reactions: Grawlix
The spring starts with PE ##\frac 12 kx_1^2## and finishes with PE ##\frac 12 kx_2^2##. The work done by the spring is its reduction in PE, ##\frac 12 kx_1^2-\frac 12 kx_2^2##
 
  • Like
Likes   Reactions: Grawlix
haruspex said:
The spring starts with PE ##\frac 12 kx_1^2## and finishes with PE ##\frac 12 kx_2^2##. The work done by the spring is its reduction in PE, ##\frac 12 kx_1^2-\frac 12 kx_2^2##
... which is ##W=-\Delta PE## ... the question (post #1) was, how does ##F=-kx## lead to that?
What the minus sign means is a common confusion.
 
Simon Bridge said:
which is W=−ΔPE... the question (post #1) was, how does F=−kx lead to that?
The minus sign in F=-kx expresses that the force exerted by the spring is opposite in direction to the displacement from the equilibrium position. Thus the work done by the spring when the displacement changes from a to b is ##\Delta W=\int_a^b\vec F.\vec{dx}=-k\int _a^b\vec x.\vec{dx}=-k\frac 12(b^2-a^2)##.
 
  • Like
Likes   Reactions: Grawlix

Similar threads

Replies
17
Views
2K
Replies
8
Views
3K
  • · Replies 5 ·
Replies
5
Views
2K
  • · Replies 12 ·
Replies
12
Views
2K
  • · Replies 12 ·
Replies
12
Views
3K
  • · Replies 14 ·
Replies
14
Views
2K
  • · Replies 58 ·
2
Replies
58
Views
3K
  • · Replies 3 ·
Replies
3
Views
2K
  • · Replies 9 ·
Replies
9
Views
2K
  • · Replies 7 ·
Replies
7
Views
4K