How Fast Will the Rocket Travel After Using All Its Fuel?

  • Thread starter Thread starter Asad Raza
  • Start date Start date
  • Tags Tags
    Momentum
Click For Summary

Homework Help Overview

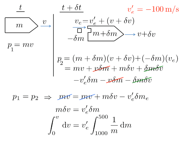
The problem involves a rocket starting from rest in deep space, with a total mass of 1000 kg (500 kg structure and systems, 500 kg fuel). The question focuses on determining the rocket's velocity after all the fuel has been expended, considering the fuel is ejected at a speed of 100 m/s relative to the rocket.

Discussion Character

  • Exploratory, Conceptual clarification, Assumption checking

Approaches and Questions Raised

  • Participants discuss the relationship between mass changes and velocity, questioning how large changes can be modeled by small increments (dm or dv). There is also confusion regarding the mass of the rocket and the exhaust gas, with some participants seeking clarification on the integral calculus involved in the mass change.

Discussion Status

The discussion is ongoing, with participants exploring different interpretations of the mass changes and the implications for the rocket's velocity. Some guidance has been offered regarding the integral calculus and mass considerations, but there is no explicit consensus on the interpretation of the mass dynamics.

Contextual Notes

Participants are grappling with the definitions and assumptions related to mass changes during fuel consumption, particularly regarding the initial and final mass of the rocket and the exhaust. There is a focus on understanding the application of the Tsiolkovsky rocket equation and its implications for the problem.

Asad Raza
Messages
81
Reaction score
3

Homework Statement


A rocket starts from rest in deep space. The rocket structure and systems weigh a total of 500kg and it has 500kg of fuel initially. When the engines are fired, fuel is ejected from the end of the rocket at a speed of 100m/s relative to the rocket.

How fast will the rocket be going when all the fuel is used up?

Homework Equations



F=DP/D
P1=P2 (Intial momentum equals final in absence of any external forces)

The Attempt at a Solution


The solution of this problem shows a mass being added up into the rocket and the mass being ejected. Then later on, the solution takes the mass at end m+dm and applies integral. How come be a such a large change modeled by dm or dv, i.e a small change? Also, how is the mass being added upto the rocket? Please answer these two questions descriptively. The picture is attached below
 

Attachments

  • momenum.png
    momenum.png
    17.4 KB · Views: 570
Last edited by a moderator:
Physics news on Phys.org
Asad Raza said:
How come be a such a large change modeled by dm or dv, i.e a small change?
The large change can be analysed as the sum of a large number of small changes. That is the whole basis of integral calculus.
 
haruspex said:
The large change can be analysed as the sum of a large number of small changes. That is the whole basis of integral calculus.
Fine. And why is there an increase in mass of rocket?
 
Last edited by a moderator:
Asad Raza said:
Fine. And why is there an increase in mass of rocket?
Actually it is not an increase. They show m + dm, but dm can be a negative number as well. It turns out that the limits of the integral start at 1000 and goes down to 500, which tells us that m does decrease (each dm is decreasing the mass). Note that it shows a -dm for the exhaust (but exhaust mass is increasing).
 
I think the mass should be the other way around, but them I may have missed something.. The question is what the rocket velocity will be after 500Kg of fuel has been used,not what the exhaust gas will be (which I would assume zero).
 

Attachments

  • Screenshot 2017-07-13 19.52.18.png
    Screenshot 2017-07-13 19.52.18.png
    7.4 KB · Views: 515
MartinCarr said:
I think the mass should be the other way around, but them I may have missed something.. The question is what the rocket velocity will be after 500Kg of fuel has been used,not what the exhaust gas will be (which I would assume zero).
I do not understand your objection to the original solution. It appears to be the same as yours (and gets the same answer).
The last bit of fuel will have a speed 100-69.3=30.7m/s in the rest frame.
 
MartinCarr said:
I think the mass should be the other way around, but them I may have missed something.. The question is what the rocket velocity will be after 500Kg of fuel has been used,not what the exhaust gas will be (which I would assume zero).
I thought this was resolved. Just so it's clear on the mass, the 500 kg rocket plus 500 kg fuel = 1000 kg starting mass. The ending mass (after 500 kg fuel is used) is 500 kg. That is why the integral goes from 1000 kg to 500 kg.
 

Similar threads

  • · Replies 1 ·
Replies
1
Views
2K
  • · Replies 2 ·
Replies
2
Views
2K
  • · Replies 10 ·
Replies
10
Views
2K
  • · Replies 3 ·
Replies
3
Views
2K
  • · Replies 6 ·
Replies
6
Views
2K
Replies
3
Views
2K
  • · Replies 6 ·
Replies
6
Views
2K
  • · Replies 10 ·
Replies
10
Views
3K
  • · Replies 22 ·
Replies
22
Views
3K
  • · Replies 3 ·
Replies
3
Views
2K