How to Combine Equations to Solve an Exact ODE for H(x, y) = c?

  • Thread starter Thread starter member 731016
  • Start date Start date
  • Tags Tags
    equations Ode
Click For Summary

Homework Help Overview

The discussion revolves around solving an exact ordinary differential equation (ODE) represented by the function H(x, y) = c. Participants are exploring how to combine two equations related to H to derive this relationship.

Discussion Character

  • Exploratory, Conceptual clarification, Mathematical reasoning

Approaches and Questions Raised

  • Participants are examining the combination of two expressions for H(x, y) and questioning how the terms relate to each other. There are attempts to clarify the roles of the functions ξ1(y) and ξ2(x) in the equations.

Discussion Status

Some participants have provided insights into the relationships between the terms in the equations, suggesting that the functions must align under certain conditions. There is acknowledgment of a typo in the thread title, indicating a focus on the exact nature of the equation.

Contextual Notes

Participants note that the original equations involve terms dependent on single variables, which influences the overall structure of H(x, y). There is also mention of a derived differential equation related to the original pair of equations.

member 731016
Homework Statement
Please see below
Relevant Equations
Please see below
For this problem,
1716444809818.png

1716444830751.png

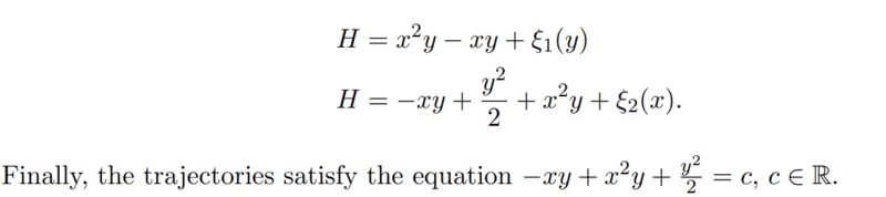
Does someone please know how they combined the two equations for H to get the finial equation ##H(x,y) = .... = c##?

Thanks!
 
Physics news on Phys.org
ChiralSuperfields said:
Homework Statement: Please see below
Relevant Equations: Please see below

For this problem,
View attachment 345763
View attachment 345764
Does someone please know how they combined the two equations for H to get the finial equation ##H(x,y) = .... = c##?

Thanks!
Take ##H-H## using both expressions. You find that
$$
0=H-H = \xi_1(y) - \frac{y^2}{2} - \xi_2(x)
$$
Moving the ##x##-dependent term to the LHS
$$
\xi_2(x) = \xi_1(y) - \frac{y^2}{2}
$$
The LHS depends only on ##x##, but the RHS does not depend on ##x## so both sides must be equal to the same constant ##-c##. It follows that
$$\xi_2(x) = c$$
and so
$$-xy +\frac{y^2}{2} + x^2y = c$$
 
  • Love
Likes   Reactions: member 731016
Here's another way to explain how they came up with H(x, y).

In the first screen shot of the OP, the author found that ##H(x, y) = x^2 - xy + \xi_1(y)## and that ##H(x, y) = -xy + \frac{y^2}2 + x^2y + \xi_2(x)##. The ##\xi_i## functions are functions of a single variable only.

Since the 2nd version of H(x, y) contains a term in y alone, namely ##\frac{y^2}2##, this means that ##\xi_1(y) = \frac{y^2}2##. Also, since the 1st version of H contains no term in x alone, this means that ##\xi_2(x) = 0##. After all, both versions of H(x, y) must be the same.

Hence ##H(x, y) = x^2y - xy + \frac{y^2}2##

The differential equation that was derived from the original pair of equations (that involved t) is ##(2xy - y)dx +(-x + y + x^2)dy = 0##. This can be seen as ##\frac{\partial H(x, y)}{\partial x}dx + \frac{\partial H(x, y)}{\partial y} dy = 0##.

The LHS of the last equation is the total differential of H(x, y). Since the total differential is zero, it must be true that H(x, y) = c, a constant.

BTW, the thread title is misleading, since the equation you're dealing with is exact, not inexact.
 
  • Love
Likes   Reactions: member 731016
Thank you for your replies @Orodruin and @Mark44!

Sorry there is a typo in the title. It should be a exact equation.

Thanks!
 
  • Like
Likes   Reactions: Mark44

Similar threads

Replies
4
Views
2K
  • · Replies 3 ·
Replies
3
Views
2K
  • · Replies 2 ·
Replies
2
Views
2K
  • · Replies 3 ·
Replies
3
Views
2K
Replies
3
Views
2K
  • · Replies 8 ·
Replies
8
Views
2K
  • · Replies 2 ·
Replies
2
Views
1K
  • · Replies 5 ·
Replies
5
Views
2K
  • · Replies 3 ·
Replies
3
Views
1K
Replies
5
Views
2K