How to Prove Inequality for Convex Sets in R^n?

Click For Summary

Homework Help Overview

The discussion revolves around proving an inequality related to convex sets in \(\mathbb{R}^n\). The original poster presents a problem involving points in a convex set and their distances, specifically aiming to show that the inner product of certain vectors is non-positive.

Discussion Character

  • Conceptual clarification, Mathematical reasoning, Problem interpretation, Assumption checking

Approaches and Questions Raised

  • Participants explore the implications of the definition of distance to a convex set and the properties of convex combinations. There are attempts to prove the statement by contradiction, questioning the assumptions about the inner product and the distances involved.

Discussion Status

Some participants have provided suggestions for refining the approach, including re-examining the convexity condition and considering specific cases. There is ongoing exploration of the implications of the assumptions, and while some guidance has been offered, there is no explicit consensus on the final approach.

Contextual Notes

Participants note that the problem may require consideration of special cases, such as when the point \(x\) lies within the convex set \(C\). There are also references to previously established theorems about convex sets that may be relevant to the discussion.

Onezimo Cardoso
Messages
11
Reaction score
2

Homework Statement


Let ##C \subset \mathbb{R}^n## a convex set. If ##x \in \mathbb{R}^n## and ##\overline{x} \in C## are points that satisfy ##|x-\overline{x}|=d(x,C)##, proves that ##\langle x-\overline{x},y-\overline{x} \rangle \leq 0## for all ##y \in C##.

Homework Equations



By definition we have ##d(x,C) = inf \{ |x-z| ; z \in C \}##.
And if ##C## is a convex set, then for any two points ##v,w \in C## we have ##(1-t)v+tw \in C##.

The Attempt at a Solution



Due the fact that ##|x-\overline{x}|=d(x,C)## , I know that ##|x-\overline{x}|^2 \leq |x-z|^2## for all ##z \in C##.
I tried to sketch a prove by contraction. So I supposed that there is an ##y \in C## that ##\langle x-\overline{x},y-\overline{x} \rangle > 0##.
Then I used the fact that ##C## is a convex set, so ##z=(1-t)y+t\overline{x} \in C##, where ##t \in [0,1]##.
Then I intend to conclude something like ##|x-z|^2 < |x-\overline{x}|^2##, what would be an absurd:
upload_2018-9-5_14-1-30.png


But the fact is I came nowhere with my attempt... =(
 

Attachments

  • upload_2018-9-5_14-1-30.png
    upload_2018-9-5_14-1-30.png
    12.8 KB · Views: 857
Physics news on Phys.org
If I draw a picture, then the law of cosine and the triangle inequality will come to mind, especially as such an inner product is part of the law of cosine.
 
Onezimo Cardoso said:

Homework Statement


Let ##C \subset \mathbb{R}^n## a convex set. If ##x \in \mathbb{R}^n## and ##\overline{x} \in C## are points that satisfy ##|x-\overline{x}|=d(x,C)##, proves that ##\langle x-\overline{x},y-\overline{x} \rangle \leq 0## for all ##y \in C##.

Homework Equations



By definition we have ##d(x,C) = inf \{ |x-z| ; z \in C \}##.
And if ##C## is a convex set, then for any two points ##v,w \in C## we have ##(1-t)v+tw \in C##.

The Attempt at a Solution



Due the fact that ##|x-\overline{x}|=d(x,C)## , I know that ##|x-\overline{x}|^2 \leq |x-z|^2## for all ##z \in C##.
I tried to sketch a prove by contraction. So I supposed that there is an ##y \in C## that ##\langle x-\overline{x},y-\overline{x} \rangle > 0##.
Then I used the fact that ##C## is a convex set, so ##z=(1-t)y+t\overline{x} \in C##, where ##t \in [0,1]##.
Then I intend to conclude something like ##|x-z|^2 < |x-\overline{x}|^2##, what would be an absurd:
View attachment 230255

But the fact is I came nowhere with my attempt... =(
I think you are close here. I suggest writing the convexity condition as ##z=(1-t)\overline{x}+ty \in C##, that is, swapping ##t## and ##(1-t)##. This gives you points close to ##\overline{x}## when ##t## is small, and that is where you are likely to find a point ##z## that violates the condition ##|x-\overline{x}|=inf \{ |x-z| ; z \in C \}##. Then, if you work through your derivation with this change, you get ##\langle x-\overline{x},y-\overline{x} \rangle## showing up explicitly and you can find a condition on ##t## that gives you what you need.
 
  • Like
Likes   Reactions: Onezimo Cardoso
Onezimo Cardoso said:

Homework Statement


Let ##C \subset \mathbb{R}^n## a convex set. If ##x \in \mathbb{R}^n## and ##\overline{x} \in C## are points that satisfy ##|x-\overline{x}|=d(x,C)##, proves that ##\langle x-\overline{x},y-\overline{x} \rangle \leq 0## for all ##y \in C##.

Homework Equations



By definition we have ##d(x,C) = inf \{ |x-z| ; z \in C \}##.
And if ##C## is a convex set, then for any two points ##v,w \in C## we have ##(1-t)v+tw \in C##.

The Attempt at a Solution



Due the fact that ##|x-\overline{x}|=d(x,C)## , I know that ##|x-\overline{x}|^2 \leq |x-z|^2## for all ##z \in C##.
I tried to sketch a prove by contraction. So I supposed that there is an ##y \in C## that ##\langle x-\overline{x},y-\overline{x} \rangle > 0##.
Then I used the fact that ##C## is a convex set, so ##z=(1-t)y+t\overline{x} \in C##, where ##t \in [0,1]##.
Then I intend to conclude something like ##|x-z|^2 < |x-\overline{x}|^2##, what would be an absurd:
View attachment 230255

But the fact is I came nowhere with my attempt... =(

What theorems about convex sets have already been proved in your course and so are available for you to use? For example, have you seen the "separating hyperplane" theorem?
 
Finally I done this question!
Thanks for all the help. I could do it following the tip tnich gave to me.
Soon I'll organize the solution and I'll post here as well.
 
As I promisse, follow a solution for this question.

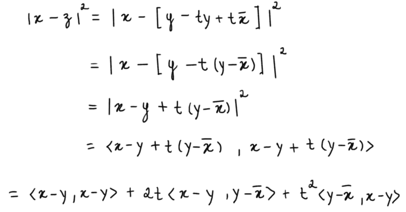
Let us suppose, by contraction, there is ##y \in C## such that ##\langle x-\overline{x}, y - \overline{x} \rangle > 0##.

Let ##z=ty+(1-t)\overline{x}##, where ##t \in (0,1)##.

By hypothesis, ##C## is convex. Therefore, ##z \in C##.

We have:
upload_2018-9-7_13-20-18.png


Then,
upload_2018-9-7_13-20-50.png


By the other hand, we have:
upload_2018-9-7_13-21-19.png


By hypothesis, ##\langle x-\overline{x} , y - \overline{x} \rangle > 0##. Therefore, ##| \langle x-\overline{x} , y - \overline{x} \rangle | = \langle x-\overline{x} , y - \overline{x} \rangle##. Then we have:
upload_2018-9-7_13-24-44.png


Thus,
upload_2018-9-7_13-25-14.png


Taking ##t \in I^{*}##, we have:
upload_2018-9-7_13-26-12.png


Applying ##(II)## in ##(I)##, we have:

upload_2018-9-7_13-27-14.png


Absurd!

Therefore,
upload_2018-9-7_13-27-55.png
 

Attachments

  • upload_2018-9-7_13-20-18.png
    upload_2018-9-7_13-20-18.png
    10.1 KB · Views: 369
  • upload_2018-9-7_13-20-50.png
    upload_2018-9-7_13-20-50.png
    3.1 KB · Views: 407
  • upload_2018-9-7_13-21-19.png
    upload_2018-9-7_13-21-19.png
    3.1 KB · Views: 401
  • upload_2018-9-7_13-24-44.png
    upload_2018-9-7_13-24-44.png
    8.1 KB · Views: 394
  • upload_2018-9-7_13-25-14.png
    upload_2018-9-7_13-25-14.png
    3.2 KB · Views: 375
  • upload_2018-9-7_13-26-12.png
    upload_2018-9-7_13-26-12.png
    2.9 KB · Views: 367
  • upload_2018-9-7_13-27-14.png
    upload_2018-9-7_13-27-14.png
    3.8 KB · Views: 406
  • upload_2018-9-7_13-27-55.png
    upload_2018-9-7_13-27-55.png
    2.1 KB · Views: 368
  • Like
Likes   Reactions: tnich
Another pretty good exercise it to use the exercise above to solve the following one:Exercise: Let ##C \subset \mathbb{R}^n## be a convex and closed set. Let ##f : \mathbb{R}^n \to C## be a function defined as ##f(x)=\overline{x}##, where ##\overline{x}## is the unique point of ##C## such that ##|x-\overline{x}|=d(x,C)##. Prove that ##|f(x)-f(y)|\leq |x-y|## for any ##x,y \in \mathbb{R}^n##, i.e., ##f## is uniformly continuous.

I could solve this one as well. I'll let it as an exercise, but if someone tries to solve it and cannot find a way I can post my solution here. Thanks guys!
 
Onezimo Cardoso said:
Another pretty good exercise it to use the exercise above to solve the following one:Exercise: Let ##C \subset \mathbb{R}^n## be a convex and closed set. Let ##f : \mathbb{R}^n \to C## be a function defined as ##f(x)=\overline{x}##, where ##\overline{x}## is the unique point of ##C## such that ##|x-\overline{x}|=d(x,C)##. Prove that ##|f(x)-f(y)|\leq |x-y|## for any ##x,y \in \mathbb{R}^n##, i.e., ##f## is uniformly continuous.

I could solve this one as well. I'll let it as an exercise, but if someone tries to solve it and cannot find a way I can post my solution here. Thanks guys!
Looks good except for some minor errors (Cauchy - Schwartz inequality would require a ##\leq## sign, ##|y-\overline x|^2## in the denominator). But there are a couple of major ones as well.
1) you have only completed the proof for ##x \notin C##. When ##x\in C##, ##\langle x-\overline{x},y-\overline{x} \rangle = 0## and the chain of inequalities fails. Fortunately, it is easy to prove this special case.
2) Since ##\overline x \in C##, ##y## can be as close to ##\overline x## as you like, meaning that ##|x- \overline x| \leq |y - \overline x|## is not true in general. The proof is still salvageable, though.
 
Last edited:
tnich said:
Looks good except for some minor errors (Cauchy - Schwartz inequality would require a ##\leq## sign, ##|y-\overline x|^2## in the denominator). But there are a couple of major ones as well.
1) you have only completed the proof for ##x \notin C##. When ##x\in C##, ##\langle x-\overline{x},y-\overline{x} \rangle = 0## and the chain of inequalities fails. Fortunately, it is easy to prove this special case.
2) Since ##\overline x \in C##, ##y## can be as close to ##\overline x## as you like, meaning that ##|x- \overline x| \leq |y - \overline x|## is not true in general. The proof is still salvageable, though.
Try solving this inequality directly for ##t##:
##-2t\langle x-\overline{x} , y - \overline{x} \rangle + t^2|y-\overline x|^2 <0##
 

Similar threads

  • · Replies 6 ·
Replies
6
Views
2K
  • · Replies 15 ·
Replies
15
Views
3K
  • · Replies 9 ·
Replies
9
Views
2K
  • · Replies 9 ·
Replies
9
Views
2K
Replies
3
Views
2K
Replies
1
Views
1K
  • · Replies 7 ·
Replies
7
Views
2K
Replies
2
Views
1K
  • · Replies 5 ·
Replies
5
Views
3K
  • · Replies 2 ·
Replies
2
Views
3K