How to Verify a Radical Equation Algebraically?

  • Context: MHB 
  • Thread starter Thread starter mathdad
  • Start date Start date
  • Tags Tags
    Radical
Click For Summary
SUMMARY

The discussion focuses on verifying radical equations algebraically, specifically addressing the method to confirm that both sides of the equation are equal without the use of a calculator. Participants emphasize the importance of manipulating the equation through algebraic techniques such as squaring both sides and isolating the radical. The conversation also references a previous question on the Math Help Boards, highlighting the value of archived discussions for educational purposes.

PREREQUISITES
  • Understanding of algebraic manipulation techniques
  • Familiarity with radical expressions
  • Knowledge of squaring both sides of an equation
  • Ability to isolate variables in equations
NEXT STEPS
  • Study the process of solving radical equations in detail
  • Learn about common pitfalls in algebraic verification
  • Explore examples of radical equations and their solutions
  • Investigate the implications of extraneous solutions in radical equations
USEFUL FOR

Students, educators, and anyone interested in mastering algebraic techniques for solving and verifying radical equations.

mathdad
Messages
1,280
Reaction score
0
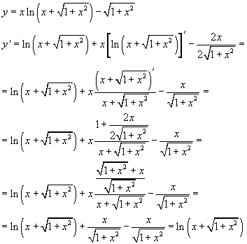
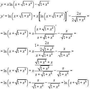
Verify that both sides of the radical equation agree without using a calculator. See picture. How can this be done algebraically?

View attachment 7967
 

Attachments

  • sDraw_2018-03-19_01-58-40.png
    sDraw_2018-03-19_01-58-40.png
    7.6 KB · Views: 142
Mathematics news on Phys.org
You asked this question before:

https://mathhelpboards.com/pre-calculus-21/radical-equation-2-a-23551.html
 
It's good to know that this site keeps a record of posted questions as reference notes.
 

Similar threads

Replies
2
Views
2K
Replies
10
Views
3K
  • · Replies 4 ·
Replies
4
Views
1K
  • · Replies 2 ·
Replies
2
Views
2K
  • · Replies 5 ·
Replies
5
Views
3K
  • · Replies 2 ·
Replies
2
Views
2K
  • · Replies 6 ·
Replies
6
Views
2K
  • · Replies 12 ·
Replies
12
Views
3K
  • · Replies 10 ·
Replies
10
Views
2K
  • · Replies 8 ·
Replies
8
Views
2K