Is 1 Included in the Mathematical Set S?

  • Context: Undergrad 
  • Thread starter Thread starter Bachelier
  • Start date Start date
Click For Summary

Discussion Overview

The discussion revolves around the inclusion of the number 1 in the mathematical set defined as S = { x ∈ ℝ | x² = 2, x > 0 }. Participants are questioning the validity of the claim that 1 is an element of this set, exploring the implications of the set's definition and potential typographical errors.

Discussion Character

  • Debate/contested

Main Points Raised

  • One participant questions the assertion that 1 is in the set S, noting that the square of 1 is not equal to 2.
  • Another participant suggests that the expression x² = 2 may not be particularly interesting and proposes that the discussion could relate to a more general case of the set xⁿ = n, where 1 would be included if n=1.
  • Several participants propose that the original statement may contain a typographical error, suggesting that the correct definition of the set should be S = { x ∈ ℝ | x² ≤ 2, x > 0 }, and speculate that this might lead to taking the supremum of S.
  • A later reply confirms the typographical error suggestion and refers to an attached file for a complete proof.

Areas of Agreement / Disagreement

Participants do not reach a consensus regarding the inclusion of 1 in the set S, with multiple competing views on the validity of the original claim and the potential for typographical errors in the set definition.

Contextual Notes

The discussion highlights the ambiguity surrounding the definition of the set S and the implications of different interpretations of the mathematical expression involved.

Bachelier
Messages
375
Reaction score
0
In one of my old notes, I was reviewing this proof. It started with:

Consider [itex]S = \{ x \in \mathbb{R} \ | \ x^2 = 2, \ x > 0\}[/itex], then S is not empty because [itex]1 \in S[/itex]

Why is 1 in the set?

Thanks.
 
Last edited:
Physics news on Phys.org
Bachelier said:
In one of my old notes, I was reviewing this proof. It started with:

Consider [itex]S = \{ x \in \mathbb{R} \ | \ x^2 = 2, \ x > 0\}[/itex], then S is not empty because [itex]1 \in S[/itex]

Why is 1 in the set?

Thanks.

This isn't true. The square of 1 is not 2
 
x^2 = 2 doesn't seem like a particular interesting thing to look at. I can't help but notice that there are two "2's" in your expression. Perhaps you were looking at a specific case of the set x^n = n. The number 1 would be in this set for the case that n=1.
 
Bachelier said:
In one of my old notes, I was reviewing this proof. It started with:

Consider [itex]S = \{ x \in \mathbb{R} \ | \ x^2 = 2, \ x > 0\}[/itex], then S is not empty because [itex]1 \in S[/itex]

Why is 1 in the set?

Thanks.

It's probably a typo and it should be

[tex]S=\{x\in \mathbb{R}~\vert~x^2\leq 2,~x>0\}[/tex]

I bet they end up taking the supremum of S.
 
micromass said:
It's probably a typo and it should be

[tex]S=\{x\in \mathbb{R}~\vert~x^2\leq 2,~x>0\}[/tex]

I bet they end up taking the supremum of S.

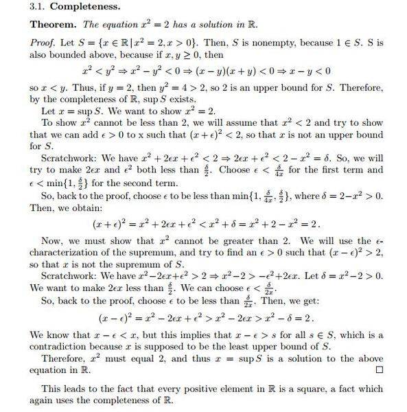
Indeed. Please see the attached file for the complete proof.
 

Attachments

  • Weird x^2 = 2 proof.JPG
    Weird x^2 = 2 proof.JPG
    66.4 KB · Views: 503

Similar threads

  • · Replies 4 ·
Replies
4
Views
2K
  • · Replies 4 ·
Replies
4
Views
2K
  • · Replies 3 ·
Replies
3
Views
4K
  • · Replies 2 ·
Replies
2
Views
2K
  • · Replies 1 ·
Replies
1
Views
3K
  • · Replies 2 ·
Replies
2
Views
3K
  • · Replies 15 ·
Replies
15
Views
4K
  • · Replies 8 ·
Replies
8
Views
3K
  • · Replies 39 ·
2
Replies
39
Views
5K
  • · Replies 61 ·
3
Replies
61
Views
7K