Just couldnt figure this out =

  • Thread starter Thread starter toni
  • Start date Start date
  • Tags Tags
    Figure
Click For Summary
SUMMARY

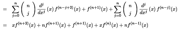
The discussion centers on the application of the derivative operator \(\frac{\partial^j}{\partial x^j}\) in calculus, specifically regarding its action on the variable \(x\). The user clarifies that the zeroth-order derivative of \(x\) is \(x\) itself, while the first-order derivative results in a constant value of 1. Consequently, all higher-order derivatives (for \(j > 1\)) yield zero, simplifying the expression to only include the zeroth and first-order terms. This understanding resolves the user's confusion regarding the equivalence in the derivative calculations.

PREREQUISITES
  • Understanding of calculus concepts, specifically derivatives
  • Familiarity with notation for partial derivatives
  • Basic knowledge of mathematical expressions and simplifications
  • Experience with higher-order derivatives
NEXT STEPS
  • Study the properties of partial derivatives in multivariable calculus
  • Learn about Taylor series expansions and their applications
  • Explore the concept of higher-order derivatives in calculus
  • Review examples of derivative calculations in mathematical analysis
USEFUL FOR

Students of calculus, educators teaching derivative concepts, and anyone seeking to deepen their understanding of mathematical derivatives and their applications.

toni
Messages
19
Reaction score
0
why the equivalence?

there must be some formula for this...just i donno.
i really need some hints! thank you guys!
 

Attachments

  • Picture 6.png
    Picture 6.png
    3.2 KB · Views: 481
Physics news on Phys.org
The derivative operator [itex]\frac{\partial^j}{\partial x^j}[/itex] is acting only on x...the j=0 derivative is just the zeroith order derivative of x, which is x. The j=1 derivative is [itex]\frac{\partial}{\partial x}x=1[/itex]. Since this is a constant, all higher order derivatives are zero and so all the j>1 terms in each of the sums is zero. You are left with only the j=0 and j=1 terms which you can write out explicitly to obtain the expression on the right.
 
THANK YOU SOOOOOOOOOOO MUCH!

Now i understand why it goes like that!
 

Similar threads

  • · Replies 5 ·
Replies
5
Views
1K
Replies
3
Views
924
  • · Replies 17 ·
Replies
17
Views
3K
  • · Replies 16 ·
Replies
16
Views
4K
  • · Replies 6 ·
Replies
6
Views
2K
  • · Replies 8 ·
Replies
8
Views
2K
  • · Replies 25 ·
Replies
25
Views
3K
  • · Replies 11 ·
Replies
11
Views
2K
  • · Replies 12 ·
Replies
12
Views
2K
  • · Replies 69 ·
3
Replies
69
Views
11K