Kinemetics Question - theoretical subsitution

  • Thread starter Thread starter Pardicer
  • Start date Start date
  • Tags Tags
    Theoretical
Click For Summary
SUMMARY

The discussion centers on a kinematics problem involving the equation s=ut + (1/2)at². The user questions the validity of squaring the time difference (t2-t1) before substituting it into the equation, arguing that it leads to an incorrect larger value for acceleration. The correct approach involves recognizing that the initial velocity (u1) at time t1 is not zero, leading to the formulation h = (a t1)(t2-t1) + (1/2)a(t2-t1)². Ultimately, the user confirms that the teacher's answer is indeed correct upon proper evaluation of the equation.

PREREQUISITES
  • Understanding of basic kinematics equations, specifically s=ut + (1/2)at²
  • Familiarity with the concept of initial velocity in motion equations
  • Ability to manipulate algebraic expressions and factor equations
  • Knowledge of time intervals in physics problems
NEXT STEPS
  • Study the derivation and applications of the kinematic equations in physics
  • Learn about the implications of initial velocity on motion analysis
  • Practice solving kinematics problems involving multiple time intervals
  • Explore advanced topics in motion, such as acceleration and its effects on trajectory
USEFUL FOR

Students studying physics, particularly those focusing on kinematics, as well as educators seeking clarification on teaching methods for motion equations.

Pardicer
Messages
1
Reaction score
0

Homework Statement



This is for personal study and as I am on study leave its a bit hard to contact a teacher.

This is the question; (the circled answer was the teachers answer)

2sba5pl.jpg


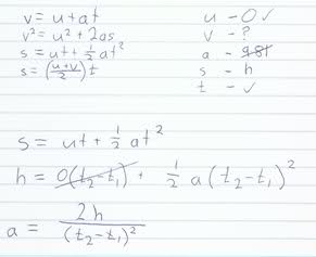
I'm unsure as to why you would individually square the times before subtracting as the actual time is (t2-t1) substituted into time on the equation, squaring before will result in a larger value (small value for acceleration though). It is possible the teacher merely got it wrong (has been known to happen).

Homework Equations



s=ut + (1/2)at^2

The Attempt at a Solution



2dv7hpl.jpg
 
Last edited:
Physics news on Phys.org
Your equation,  h = 0(t2-t1) + (1/2)a(t2-t1)2  is in error.

The velocity, u1, at time, t1 is not zero. This velocity is give by:
u1 = u0 + a(t1-t0) = 0 + a t1 = a t1 .​

∴ h = u1(t2-t1) + (1/2)a(t2-t1)2
= (a t1)(t2-t1) + (1/2)a(t2-t1)2

If you multiply this all out, combine like terms and then factor it, you will find that your teacher did indeed give the correct answer.

BTW: There is an easier way to come up with his answer. I thought it better to use what you started with.
 

Similar threads

Replies
11
Views
2K
Replies
12
Views
2K
  • · Replies 3 ·
Replies
3
Views
2K
  • · Replies 23 ·
Replies
23
Views
4K
  • · Replies 2 ·
Replies
2
Views
2K
  • · Replies 4 ·
Replies
4
Views
2K
  • · Replies 6 ·
Replies
6
Views
3K
  • · Replies 6 ·
Replies
6
Views
2K
  • · Replies 11 ·
Replies
11
Views
2K
  • · Replies 6 ·
Replies
6
Views
4K