How do I derive an expression for the velocity vector for any α?

Click For Summary

Homework Help Overview

The discussion revolves around deriving an expression for the velocity vector of a bar of mass m moving on a smooth horizontal plane under the influence of a force F, where the angle α between the force and the horizontal varies with distance traversed. The original poster (OP) has attempted to find the velocity vector for all α but has only succeeded for the interval [0, π/2].

Discussion Character

  • Exploratory, Assumption checking, Conceptual clarification

Approaches and Questions Raised

  • Participants discuss the application of Newton's second law and the implications of the derived equations. Some question the validity of the results beyond certain angles and explore the periodic nature of the motion. Others raise concerns about the interpretation of distance versus displacement in the context of the problem.

Discussion Status

The discussion is ongoing, with participants providing hints and prompting the OP to clarify their understanding of the problem. There are multiple interpretations being explored, particularly regarding the nature of the motion and the definitions of variables involved.

Contextual Notes

Participants note that the problem may involve constraints on motion, such as the bar not lifting off the surface, and question the assumptions regarding the relationship between distance and displacement. The discussion also touches on the periodicity of the motion and the conditions under which the derived expressions hold true.

griffith
Messages
20
Reaction score
0
Homework Statement
This question is part of a homework set. I have shown my attempt and would like help understanding the concepts involved.
Relevant Equations
md2/dt2(s) = Fcos(as)
[Mentor Note: OP's two duplicate thread starts have been merged, and OP has come back and edited the first post to include work]

A bar of mass m resting on a smooth horizontal plane starts
moving due to the force F of constant magnitude. In the
process of its rectilinear motion the angle α between the direction of
this force and the horizontal varies as α = as, where a is a constant,
and s is the distance traversed by the bar from its initial position.
Find the velocity vector of the bar as a function of the angle α. I have tried solving it for all α in the interval [0, inf] but I was only able to find the velocity vector for the angle α in the interval [0,pi/2].
 

Attachments

  • Screenshot 2026-01-14 021229.webp
    Screenshot 2026-01-14 021229.webp
    26 KB · Views: 7
  • Screenshot 2026-01-13 153508.webp
    Screenshot 2026-01-13 153508.webp
    2.2 KB · Views: 9
Last edited by a moderator:
Physics news on Phys.org
A bar of mass m resting on a smooth horizontal plane starts moving due to the force F of constant magnitude. In the process of its rectilinear motion the angle α between the direction of this force and the horizontal varies as α = as, where a is a constant, and s is the distance traversed by the bar from its initial position. Find the velocity vector of the bar as a function of the angle α.

[Mentor Note: New user has been reminded to always show their work when posting schoolwork questions at PF.]
 

Attachments

  • Screenshot 2026-01-14 021229.webp
    Screenshot 2026-01-14 021229.webp
    26 KB · Views: 13
Last edited:
wrobel said:
picture is needed
Sure, a sec
 
Please read our site guidelines regarding homework requests.

We do not provide answers, only hints.

But here's the big one: You must show some work before we post anything.
 
  • Like
Likes   Reactions: Doc Al
wrobel said:
picture is needed
 

Attachments

  • ....webp
    ....webp
    2 KB · Views: 12
the 2nd Newton is ##m\ddot s=F\cos(as)## and ##s(0)=0,\quad \dot s(0)=0##.
multiply both sides of the equation by ##\dot s##:
##m\ddot s\dot s=F\dot s\cos(as)## or equivalently
$$\frac{d}{dt}\Big(\frac{1}{2}m\dot s^2-\frac{F}{a}\sin(as)\Big)=0$$
finish it by yourself
 
Last edited:
wrobel said:
the 2nd Newton is ##m\ddot s=F\cos(as)## and ##s(0)=0,\quad \dot s(0)=0##.
multiply both sides of the equation by ##\dot s##:
##m\ddot s\dot s=F\dot s\cos(as)## or equivalently
$$\frac{d}{dt}\Big(\frac{1}{2}m\dot s^2-\frac{F}{a}\sin(as)\Big)=0$$
finish it by yourself
Could you clarify why the final result is only valid over a limited range of α, and what prevents extending it to all α
 
You ask irrelevant question. Analyze formulas and make sure that ##as(t)\in [0,\pi]## for all ##t\ge 0##;
##s(t)## is a periodic function
 
Last edited:
  • #10
wrobel said:
the 2nd Newton is ##m\ddot s=F\cos(as)## and ##s(0)=0,\quad \dot s(0)=0##.
multiply both sides of the equation by ##\dot s##:
##m\ddot s\dot s=F\dot s\cos(as)## or equivalently
$$\frac{d}{dt}\Big(\frac{1}{2}m\dot s^2-\frac{F}{a}\sin(as)\Big)=0$$
finish it by yourself
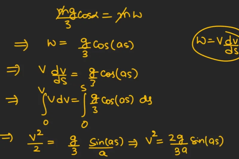
my doubt was stupid. that time derivative when simplified gives:
1/2m.(ds/dt)^2 = (F/a).sin(as)
-----> ds/dt = +-[(2F/ma).sin(as)]^1/2
since ds/dt > 0 , ds/dt = [(2F/ma).sin(as)]^1/2
the body accelerates from as----->0 to pi/2 , attains maximum speed(say at distance S from the initial point) and retards at the same rate i.e., its velocity is equal to 0 at distance 2S from the initial point. At that distance 2S from the initial point it just repeats everything it has done in the opposite sense (motion towards the initial point). I finally get it now
 

Attachments

  • mmm.webp
    mmm.webp
    2.6 KB · Views: 17
Last edited:
  • #11
griffith said:
Find the velocity vector of the bar as a function of the angle α. I have tried solving it for all α in the interval [0, inf] but I was only able to find the velocity vector for the angle α in the interval [0,pi/2].
I assume you're troubled by the fact that when ##\alpha > \pi##, the expression you derived gives you ##v^2<0##.

When ##\alpha = \pi##, what's the velocity of the bar and which way does the force point?
 
  • #12
vela said:
I assume you're troubled by the fact that when ##\alpha > \pi##, the expression you derived gives you ##v^2<0##.

When ##\alpha = \pi##, what's the velocity of the bar and which way does the force point?
velocity equals 0 and the force vector would point to the left(wrt the pic i drew)
 
  • #13
griffith said:
velocity equals 0 and the force vector would point to the left(wrt the pic i drew)
And at that point, ##s=\pi/\alpha##. When will ##s## exceed that?
 
  • #14
Actually it is a pendulum. The equations of motion are the same as ones for the pendulum.
 
  • #15
griffith said:
I have tried solving it for all α in the interval [0, inf] but I was only able to find the velocity vector for the angle α in the interval [0,pi/2].
This is a periodic back-and-forth motion, and ## s ## is the distance of the moving bar from its initial position. Why do you expect ## s=\alpha/a ## to be in the interval ## [0,\infty) ##?
 
  • #16
haruspex said:
And at that point, ##s=\pi/\alpha##. When will ##s## exceed that?
s belongs to the interval [0, pi/a]
 
  • #17
Gavran said:
This is a periodic back-and-forth motion, and ## s ## is the distance of the moving bar from its initial position. Why do you expect ## s=\alpha/a ## to be in the interval ## [0,\infty) ##?
It's because I misinterpreted the line "s is the distance traversed by the bar from its initial position"
 
  • #18
wrobel said:
Actually it is a pendulum. The equations of motion are the same as ones for the pendulum.
what if s is the total distance traversed by the body?
 
  • #19
the equation of motion has already been written what else do you want ?
 
  • #20
wrobel said:
the equation of motion has already been written what else do you want ?
that only works if s is the magnitude of displacement. How would one proceed if s is taken to be the total distance traveled along the path,
Also, why wasn’t s taken as the modulus of the displacement vector?
Is this because, from the analysis of the motion, the body never crosses the initial point in the opposite sense?
 
  • #21
it is hard to answer questions that contain incorrect prerequisites in their formulations

:)
 
Last edited:
  • #22
griffith said:
that only works if s is the magnitude of displacement. How would one proceed if s is taken to be the total distance traveled along the path,
Also, why wasn’t s taken as the modulus of the displacement vector?
Is this because, from the analysis of the motion, the body never crosses the initial point in the opposite sense?
The question is a bit odd. Presumably, the bar does not get lifted off the surface, so that we have an assumed constraint of motion in one direction. In this case, the vertical component of the force is irrelevant. Initially, displacement and distance are the same. They remain the same until the bar starts moving in the opposite direction (if, indeed, that happens).

We have a force that varies with the displacement/distance (##s##) from the starting point, given by:
$$F_s = F\cos(as)$$The will be to the right (assuming ##a > 0##) until ##as = \frac \pi 2## and to the left until ##as = \pi##. By symmetry, the block will have stopped at that point.

If we take ##s## to be the displacement, then the variable ##as## reduces from that point and we have the cosine of an angle in the second and first quadrants. And we get simple harmonic motion.

If we take ##s## to be the distance, then the variable ##as## continues to increase and we get the same force in the horizontal direction as in the previous case. Although the force in the vertical direction has is downwards, rather than upwards.

It doesn't matter to the cosine function whether ##\alpha \in [0, \pi]## or ##\alpha \in [0, \infty)##, in this particular case.

Feynman is supposed to have said "the same equations have the same solutions". This is a case in point. Someone thought it was a good idea to disguise SHM in some slightly physically bizarre scenario with a horizontal bar/block and a weird force. Maybe the student learns something from this and maybe it confuses the student.

I lean towards the latter.
 
  • Like
Likes   Reactions: Gavran
  • #23
PeroK said:
SHM
it is not simple harmonic motion
 
  • Like
Likes   Reactions: PeroK
  • #24
wrobel said:
it is hard to answer questions that contain incorrect prerequisites in their formulations

:)
true
 
  • #25
PeroK said:
The question is a bit odd. Presumably, the bar does not get lifted off the surface, so that we have an assumed constraint of motion in one direction. In this case, the vertical component of the force is irrelevant. Initially, displacement and distance are the same. They remain the same until the bar starts moving in the opposite direction (if, indeed, that happens).

We have a force that varies with the displacement/distance (##s##) from the starting point, given by:
$$F_s = F\cos(as)$$The will be to the right (assuming ##a > 0##) until ##as = \frac \pi 2## and to the left until ##as = \pi##. By symmetry, the block will have stopped at that point.

If we take ##s## to be the displacement, then the variable ##as## reduces from that point and we have the cosine of an angle in the second and first quadrants. And we get simple harmonic motion.

If we take ##s## to be the distance, then the variable ##as## continues to increase and we get the same force in the horizontal direction as in the previous case. Although the force in the vertical direction has is downwards, rather than upwards.

It doesn't matter to the cosine function whether ##\alpha \in [0, \pi]## or ##\alpha \in [0, \infty)##, in this particular case.

Feynman is supposed to have said "the same equations have the same solutions". This is a case in point. Someone thought it was a good idea to disguise SHM in some slightly physically bizarre scenario with a horizontal bar/block and a weird force. Maybe the student learns something from this and maybe it confuses the student.

I lean towards the latter.
In the diagram, the arrows attached to each block represent the applied force vector at different positions along the motion.


In case (1), regardless of whether s is interpreted as the displacement from the initial point or as the distance traveled, the resulting motion is the same because the body has not reversed direction.


In case (2), s is naturally interpreted as the displacement from the initial position, whereas in case (3), s represents the total distance traveled along the path.


In either interpretation, however, the horizontal component of the force vector, which governs the rectilinear motion of the body on the smooth plane, remains the same at a given value of the angle. Therefore, the equation of motion along the horizontal direction is unaffected by whether s is taken as displacement or as distance, provided the direction of motion is treated consistently. (Apologies for the rough sketch)
 

Attachments

  • Untitled.webp
    Untitled.webp
    15.3 KB · Views: 13
  • #26
griffith said:
what if s is the total distance traversed by the body?
The exact wording suggests that is the intention. This is reinforced by its asking for the velocity vector, not the speed. If we only take ##s## as the modulus of the displacement then the sign of ##v## is indeterminate.

To avoid confusion, I'll use ##S## for the displacement (which is never negative) and ##s## for the cumulative traversal.
In post #1 you found that ##(\dot S)^2=(2F/ma)\sin(aS)##.
You derived this from an equation of the form ##\ddot S=k\cos(aS)##.
But if we define ##s## as the cumulative distance then the initial equation for that is different. If we plot ##S## against ##s## we get a sawtooth: /\/\/\… ; ##\dot s## is nonnegative always, but ##\dot S## alternates between ##\dot s## and ##-\dot s##.

A solution for ##\dot S## (which the question appears to be asking for) can be written in terms of ##s## by using functions like modulo() and sign(). This is most easily done by starting with the solution for ##\dot S## as a function of ##S## and applying a little reasoning, rather than starting from scratch with the right differential equation.
 
Last edited:
  • #27
griffith said:
what if s is the total distance traversed by the body?
You have
$$a = v \frac{dv}{dx}$$ where ##x## is the displacement. As the block initially moves to the right, you have ##x=s##, so the equation you derived works. When the block moves to the left, however, you no longer can say ##x=s##, but you can say that ##dx = -ds## which gives you the minus sign you're looking for.
 
  • Like
Likes   Reactions: PeroK and SammyS

Similar threads

  • · Replies 4 ·
Replies
4
Views
2K
  • · Replies 1 ·
Replies
1
Views
2K
  • · Replies 13 ·
Replies
13
Views
3K
  • · Replies 4 ·
Replies
4
Views
5K
  • · Replies 5 ·
Replies
5
Views
2K
Replies
3
Views
6K
Replies
5
Views
4K
  • · Replies 9 ·
Replies
9
Views
6K
  • · Replies 16 ·
Replies
16
Views
3K
  • · Replies 1 ·
Replies
1
Views
4K