LaTex: eqnarray numbering eqs as 1a, 1b, 1c

  • Context: LaTeX 
  • Thread starter Thread starter Saladsamurai
  • Start date Start date
  • Tags Tags
    Latex
Click For Summary
SUMMARY

The discussion focuses on formatting equations in LaTeX to achieve subequation numbering, specifically displaying equations as (4.13a), (4.13b), and (4.13c). The original user utilized the eqnarray environment but was advised to switch to the align environment for better spacing and clarity. The solution involves wrapping the equations in the subequations environment, which allows for the desired numbering format. This approach enhances the presentation of mathematical expressions in LaTeX documents.

PREREQUISITES
  • Familiarity with LaTeX syntax and environments
  • Understanding of the align environment in LaTeX
  • Knowledge of the subequations environment in LaTeX
  • Basic principles of mathematical typesetting
NEXT STEPS
  • Learn about the LaTeX align environment for better equation formatting
  • Explore the subequations environment in LaTeX for grouped equation numbering
  • Research best practices for mathematical typesetting in LaTeX
  • Investigate alternatives to eqnarray for improved spacing and layout
USEFUL FOR

Mathematicians, physicists, and anyone involved in academic writing who needs to format equations effectively in LaTeX.

Saladsamurai
Messages
3,009
Reaction score
7
Hi folks, I am making some great progress in LaTeX, however this is something I am having trouble finding. I think that I am just unsure of what keywords to search. I have the following equation array:

Code:
\begin{eqnarray}
 y(x) &=& \sum_0^{\infty}a_nx^{n+r}     \label{eqn: frobenius 6}\\
 \Rightarrow y'(x) &=& \sum_0^{\infty}(n+r)a_nx^{n+r - 1}	\label{eqn: frobenius 7}  \\
 \Rightarrow y''(x) &=& \sum_0^{\infty}(n+r-1)(n+r)a_nx^{n+r - 2}	\label{eqn: frobenius 8} 
 \label{eqn: frobenius 8}
\end{eqnarray}

which produces the following
Screenshot2010-10-23at14315PM.png


Instead of numbering each equation as a new number, I would like it to say (4.13a), (4.13b),(4.13c).

I know this is possible; I am just unsure of the syntax.

Any thoughts? Thanks!
 
Physics news on Phys.org
What you want is subequations. You should also use the align environment instead of eqnarray, as it has better spacing -- see the links in this http://tex.stackexchange.com/questions/196/eqnarray-vs-align" .

Code:
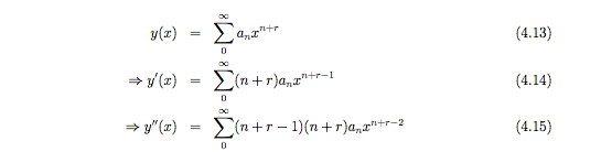
\begin{subequations}
\begin{align}
 y(x) &= \sum_0^{\infty}a_nx^{n+r}     \label{eqn: frobenius 6}\\
 \implies y'(x) &= \sum_0^{\infty}(n+r)a_nx^{n+r - 1}	\label{eqn: frobenius 7}  \\
 \implies y''(x) &= \sum_0^{\infty}(n+r-1)(n+r)a_nx^{n+r - 2}	\label{eqn: frobenius 8} 
\end{align}
\end{subequations}

produces the attached image (it didn't render on physics forums properly, so I used http://docs.latexlab.org/ ).
 

Attachments

  • 072f982c1744825462e1b99193d57e1e-1.png
    072f982c1744825462e1b99193d57e1e-1.png
    2 KB · Views: 2,096
Last edited by a moderator:

Similar threads

  • · Replies 1 ·
Replies
1
Views
4K
  • · Replies 5 ·
Replies
5
Views
4K
  • · Replies 1 ·
Replies
1
Views
5K
  • · Replies 3 ·
Replies
3
Views
3K
  • · Replies 1 ·
Replies
1
Views
2K
  • · Replies 1 ·
Replies
1
Views
2K
  • · Replies 4 ·
Replies
4
Views
5K
  • · Replies 4 ·
Replies
4
Views
3K
  • · Replies 9 ·
Replies
9
Views
2K
  • · Replies 15 ·
Replies
15
Views
25K