maistral
- 235
- 17
I am not sure where I should be posting this; I am perfectly aware this is Taylor expansion calculus, but considering the fact that I am working with numerical ODE solutions, I posted this here.
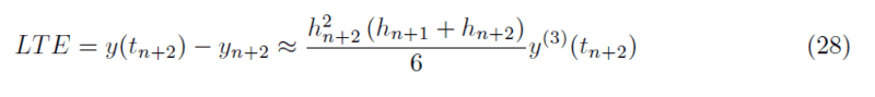
In the paper: Implementation of an Adaptive BDF2 Formula and Comparison with the MATLAB Ode15s (Celaya, et al); I have found this formula:
It's supposed to be a local truncation error formula which compares the numerical solution yn+2 to that of a Taylor expansion y(tn+2). While I can set the values of h to be equal with each other (thus retrieving the constant step version), I have no idea how to derive this term if I want to bring it to higher orders (say, I want a fourth-order solution which would den require the calculation of a fifth derivative term with variable stepsize).
TLDR: Does anyone know how this thing has been made? I have been scouring the internet for a while about this and I seem to have no information as to how this thing appeared (I mean, looking at the four papers I have now, this just magically appeared).
Thanks!
In the paper: Implementation of an Adaptive BDF2 Formula and Comparison with the MATLAB Ode15s (Celaya, et al); I have found this formula:
It's supposed to be a local truncation error formula which compares the numerical solution yn+2 to that of a Taylor expansion y(tn+2). While I can set the values of h to be equal with each other (thus retrieving the constant step version), I have no idea how to derive this term if I want to bring it to higher orders (say, I want a fourth-order solution which would den require the calculation of a fifth derivative term with variable stepsize).
TLDR: Does anyone know how this thing has been made? I have been scouring the internet for a while about this and I seem to have no information as to how this thing appeared (I mean, looking at the four papers I have now, this just magically appeared).
Thanks!
