Norms for a Linear Transformation .... Browder, Lemma 8.4 ....

Click For Summary
SUMMARY

This discussion centers on Andrew Browder's Lemma 8.4 from "Mathematical Analysis: An Introduction," specifically regarding the relationship between the sum of squares of matrix coefficients and the operator norm. The lemma states that $$\sum_{j=1}^m (a_k^j)^2 = |T e_k|^2 \le \|T\|^2$$. Participants clarify that the equality arises from the definition of the matrix representation of the linear transformation T, while the inequality is derived from the definition of the operator norm, confirming that $$|T \mathbf{e}_k| \leq \|T\|$$ for unit vectors.

PREREQUISITES
  • Understanding of linear transformations and their matrix representations
  • Familiarity with operator norms in functional analysis
  • Knowledge of vector norms and properties of Euclidean spaces
  • Basic concepts of differentiable maps in mathematical analysis
NEXT STEPS
  • Study the definition and properties of operator norms in linear algebra
  • Explore the concept of matrix representation of linear transformations
  • Review the proofs of key lemmas in Browder's "Mathematical Analysis: An Introduction"
  • Learn about differentiable maps and their applications in analysis
USEFUL FOR

Mathematics students, particularly those studying linear algebra and functional analysis, as well as educators seeking to deepen their understanding of operator norms and linear transformations.

Math Amateur
Gold Member
MHB
Messages
3,920
Reaction score
48
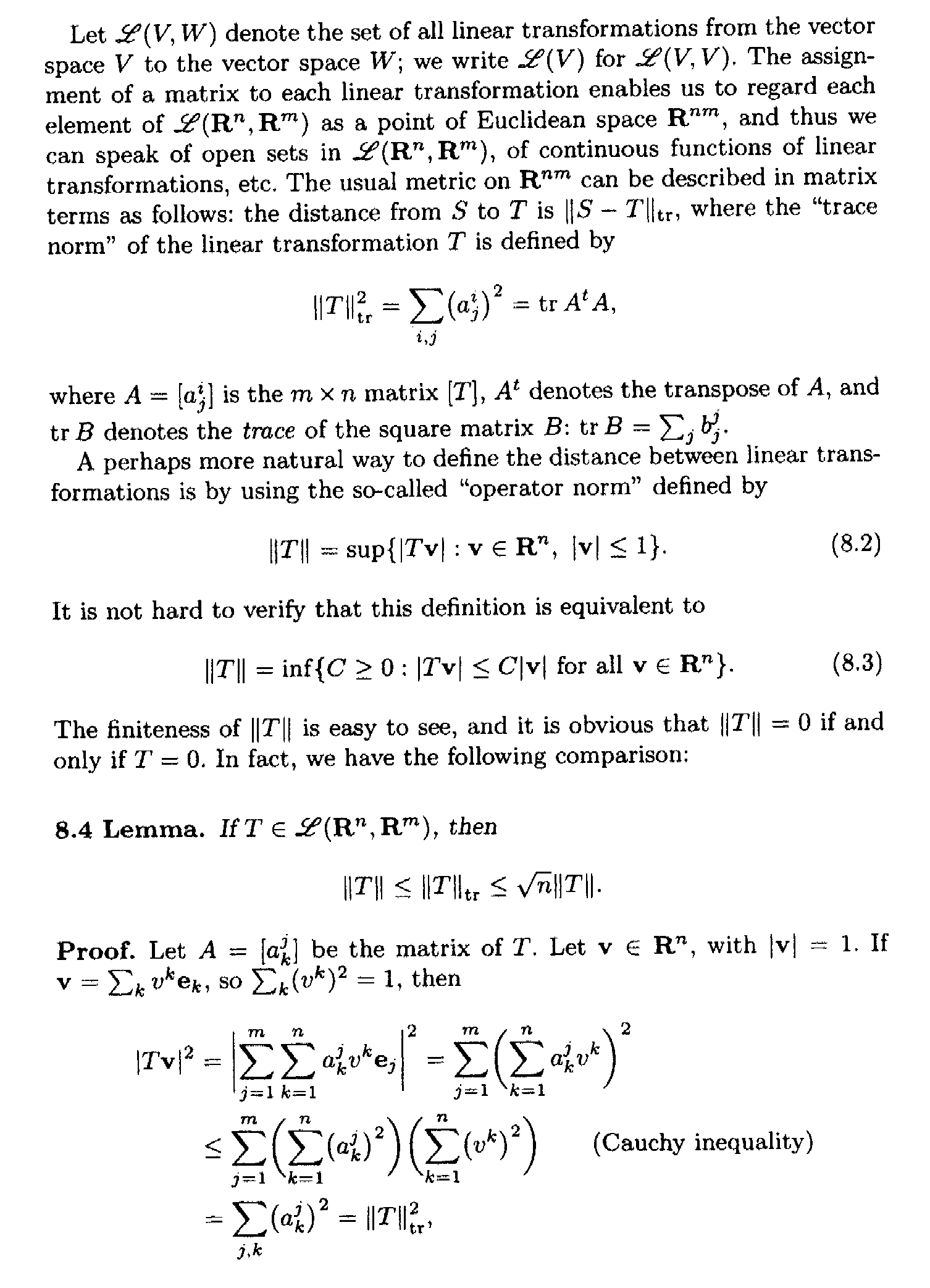
I am reading Andrew Browder's book: "Mathematical Analysis: An Introduction" ... ...

I am currently reading Chapter 8: Differentiable Maps and am specifically focused on Section 8.1 Linear Algebra ...

I need some help in fully understanding Lemma 8.4 ...

Lemma 8.4 reads as follows:
View attachment 9371
View attachment 9372
In the above proof of Lemma 8.4 by Browder we read the following:

" ... ... On the other hand since $$\sum_{ j = 1 }^m ( a_k^j )^2 = \ \mid T e_k \mid \ \le \| T \|^2$$ for every $$k, 1 \le k \le n$$ ... ... "

My question is as follows:

Can someone please demonstrate rigorously that $$\sum_{ j = 1 }^m ( a_k^j )^2 = \ \mid T e_k \mid \ \le \| T \|^2$$ ...
(... ... it seems plausible that $$\sum_{ j = 1 }^m ( a_k^j )^2 = \ \mid T e_k \mid \ \le \| T \|^2$$ but how do we demonstrate it rigorously ... ... )
Help will be much appreciated ...

Peter
 

Attachments

  • Browder - 1 - Lemma 8.4 ... PART 1 .. .png
    Browder - 1 - Lemma 8.4 ... PART 1 .. .png
    39.8 KB · Views: 149
  • Browder - 2 - Lemma 8.4 ... PART 2 ... .png
    Browder - 2 - Lemma 8.4 ... PART 2 ... .png
    12.3 KB · Views: 142
Physics news on Phys.org
Peter said:
Can someone please demonstrate rigorously that $$\sum_{ j = 1 }^m ( a_k^j )^2 = |T e_k|^2 \le \| T \|^2$$ ...
The equality $$\sum_{ j = 1 }^m ( a_k^j )^2 =|T \mathbf{e}_k|^2$$ comes from the definition of the matrix of $T$. In fact, $T \mathbf{e}_k = (a_k^1 \mathbf{e}_1,a_k^2 \mathbf{e}_2,\ldots,a_k^m \mathbf{e}_m).$

The inequality $|T \mathbf{e}_k| \leqslant \|T\|$ comes from the definition of $\|T\|$. In fact, $\|T\| = \sup\{|T\mathbf{v}|:\mathbf{v}\in\Bbb{R}^n, |\mathbf{v}|\leqslant1\}$, which implies that $|T\mathbf{v}| \leqslant \|T\|$whenever $|\mathbf{v}|\leqslant1$. But $|\mathbf{e}_k| = 1$, so we can take $\mathbf{v} = \mathbf{e}_k$ to get $|T \mathbf{e}_k| \leqslant \|T\|$.
 

Similar threads

  • · Replies 2 ·
Replies
2
Views
2K
  • · Replies 5 ·
Replies
5
Views
2K
  • · Replies 1 ·
Replies
1
Views
3K
  • · Replies 2 ·
Replies
2
Views
2K
  • · Replies 4 ·
Replies
4
Views
3K
  • · Replies 8 ·
Replies
8
Views
2K
  • · Replies 4 ·
Replies
4
Views
2K
Replies
5
Views
2K
  • · Replies 2 ·
Replies
2
Views
2K
  • · Replies 4 ·
Replies
4
Views
2K