Ordering on the Set of Real Numbers .... Sohrab, Ex. 2.1(1)

Click For Summary
SUMMARY

The discussion centers on Exercise 2.1.12 Part (1) from Houshang H. Sohrab's "Basic Real Analysis" (Second Edition), focusing on the properties of real numbers as a field. Participants explore the validity of showing that \(\frac{a}{2} > 0\) using properties established in previous exercises, specifically referencing Exercises 2.1.10 and 2.1.11. The proof involves applying the Order Axiom \(O_2\) and definitions of division, leading to the conclusion that \(\frac{a}{2} < a\) must also be demonstrated. The conversation emphasizes the importance of foundational properties in real analysis.

PREREQUISITES
  • Understanding of real numbers as a field, specifically \(\mathbb{R}\)
  • Familiarity with the Order Axioms \(O_2\) and \(O_3\)
  • Knowledge of basic operations: addition, multiplication, and their inverses
  • Experience with mathematical proofs and inequalities
NEXT STEPS
  • Review the definitions and properties of fields in real analysis
  • Study the implications of the Order Axioms \(O_2\) and \(O_3\) in proofs
  • Practice solving similar exercises from Sohrab's "Basic Real Analysis"
  • Explore the concept of limits and convergence in sequences and series
USEFUL FOR

Students of real analysis, mathematics educators, and anyone seeking to deepen their understanding of the properties of real numbers and their applications in proofs.

Math Amateur
Gold Member
MHB
Messages
3,920
Reaction score
48

Homework Statement



I am reading Houshang H. Sohrab's book: "Basic Real Analysis" (Second Edition).

I am focused on Chapter 2: Sequences and Series of Real Numbers ... ...

I need help with Exercise 2.1.12 Part (1) ... ...

Exercise 2.1.12 Part (1) reads as follows:

sohrab-exercse-2-1-12-png.png


I am unable to make a meaningful start on Exercise 2.1.12 (1) ... can someone please help ...Relevant equations

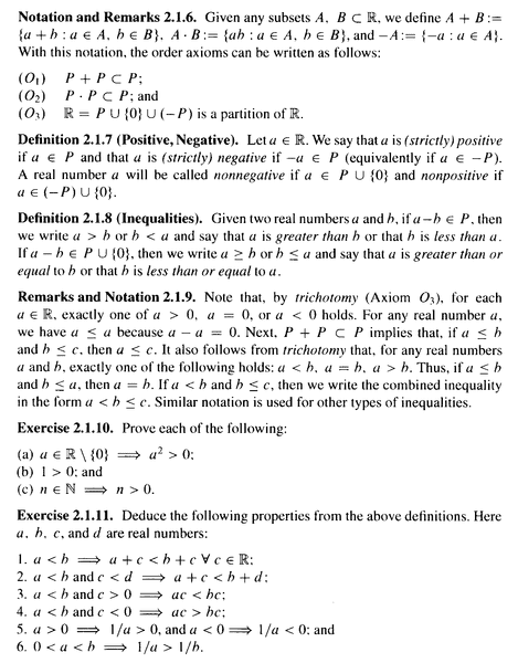
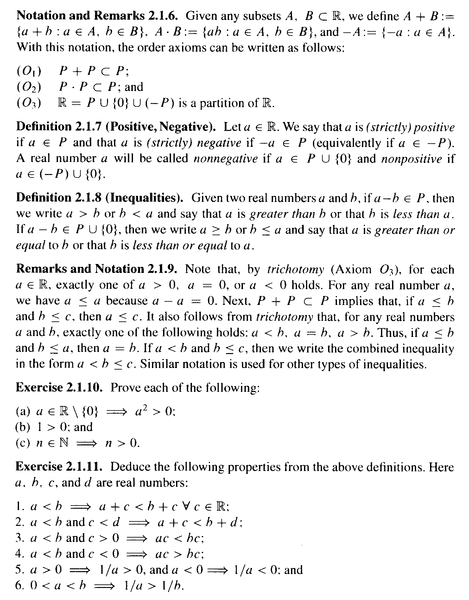
Sohrab defines ##\mathbb{R}## as a field with binary operations of addition and multiplication ... he then goes on to define subtraction, division and exponentiation as follows:

sohrab-definition-2-1-4-subtraction-division-and-exponentiation-of-real-numbers-png.png



Sohrab's definition of the usual ordering on ##\mathbb{R}## plus some of the properties following are as follows ... (but note that Exercises 2.1.10 and 2.1.11 precede Exercise 2.1.12 and so, I think, must be taken as given properties for the purposes of Exercise 2.1.12 ... ) ...

sohrab-1-ordering-of-the-real-numbers-png.png

sohrab-2-ordering-of-the-real-numbers-part-2-png-png.png

*** EDIT ***

I am concerned that Exercises 2.1.1 and 2.1.2 contain properties of addition, multiplication and inverses that flow directly form the properties of \mathbb{R} as a field, ... ... and these properties could possibly be useful in the exercise ... so I am providing Sohrab's description of the field of real numbers and the exercises that follow it, namely Exercises 2.1.1 and 2.1.2 ...

?temp_hash=e79a9f9b500d20b39337ce75755efe40.png

?temp_hash=e79a9f9b500d20b39337ce75755efe40.png


3. The Attempt at a Solution

I am unable to make a meaningful start on this problem ... can someone help me to get started ...

Peter
 

Attachments

  • Sohrab - Exercse 2.1.12 ....png
    Sohrab - Exercse 2.1.12 ....png
    11.8 KB · Views: 587
  • Sohrab - Definition 2.1.4 - Subtraction, Division and Exponentiation of Real Numbers.png
    Sohrab - Definition 2.1.4 - Subtraction, Division and Exponentiation of Real Numbers.png
    38.3 KB · Views: 635
  • Sohrab - 1 - Ordering of the Real Numbers .. ....png
    Sohrab - 1 - Ordering of the Real Numbers .. ....png
    14.9 KB · Views: 693
  • Sohrab - 2 - Ordering of the Real Numbers .. .... PART 2 ... ... png.png
    Sohrab - 2 - Ordering of the Real Numbers .. .... PART 2 ... ... png.png
    38 KB · Views: 617
  • Sohrab - 1 - Real Numbers as an Ordered Field ... PART 1 ... ....png
    Sohrab - 1 - Real Numbers as an Ordered Field ... PART 1 ... ....png
    18.4 KB · Views: 546
  • Sohrab - 2 - Real Numbers as an Ordered Field ... PART 2 ... ....png
    Sohrab - 2 - Real Numbers as an Ordered Field ... PART 2 ... ....png
    35.7 KB · Views: 581
Last edited:
Physics news on Phys.org
I think I have made some progress with showing that ##\frac{a}{2} \gt 0## ...We have ##2 \gt 0## (can we say this? why is it valid?)

and so ##2^{-1} \gt 0## by Exercise 2.1.11 (5) (see scanned text in above post)

So we now have

##a, 2^{-1} \in P## (definition of a as greater than 0 )

##\Longrightarrow a \cdot 2^{-1} \in P## (Order Axiom ##O_2## ... see scanned text in above post)

##\Longrightarrow \frac{a}{2} \gt 0## (by definition of division ...see scanned text in above post)Is that correct?

If it is a valid and good proof ... then we still need to show ##\frac{a}{2} \lt a## ... but how ...?Peter
 
Math Amateur said:
I think I have made some progress with showing that ##\frac{a}{2} \gt 0## ...
We have ##2 \gt 0## (can we say this? why is it valid?)
This is exercise 2.1.10 (c).
and so ##2^{-1} \gt 0## by Exercise 2.1.11 (5) (see scanned text in above post)
You can also use exercise 2.1.10 (c) again and show, that ##\frac{1}{2}<0## is impossible by ##(O_2)## and ##(O_3)\,##.
So we now have
##a, 2^{-1} \in P## (definition of a as greater than 0 )
##\Longrightarrow a \cdot 2^{-1} \in P## (Order Axiom ##O_2## ... see scanned text in above post)
##\Longrightarrow \frac{a}{2} \gt 0## (by definition of division ...see scanned text in above post)
Is that correct?
Yes.
If it is a valid and good proof ... then we still need to show ##\frac{a}{2} \lt a## ... but how ...?
You can use exercise 2.1.11 (1) and what you just have proven here.
 

Similar threads

Replies
2
Views
2K
  • · Replies 11 ·
Replies
11
Views
2K
Replies
2
Views
2K
  • · Replies 6 ·
Replies
6
Views
3K
Replies
3
Views
2K
Replies
5
Views
2K
Replies
2
Views
2K
  • · Replies 3 ·
Replies
3
Views
2K
  • · Replies 4 ·
Replies
4
Views
2K
  • · Replies 1 ·
Replies
1
Views
2K