Parametric curve question (determining unknown point)

Click For Summary
SUMMARY

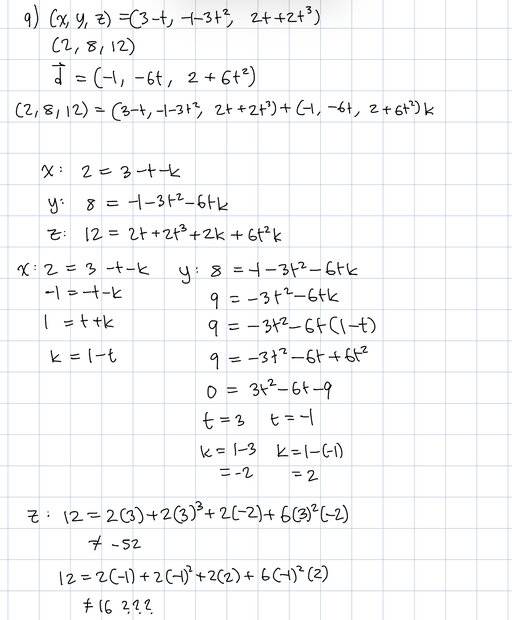
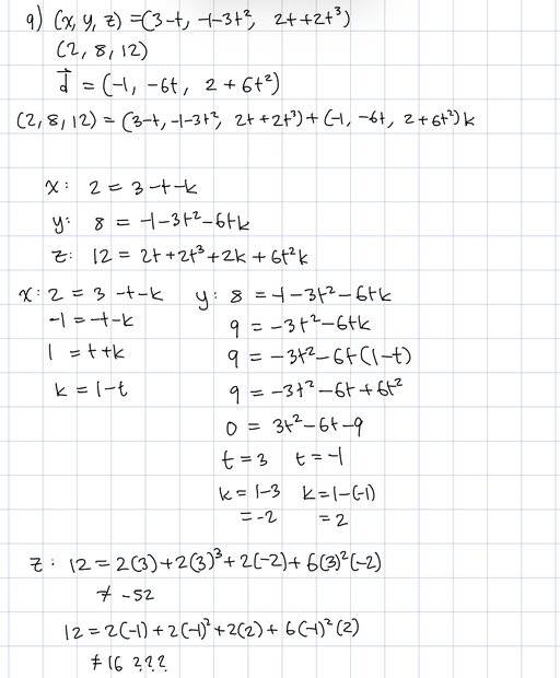
The discussion centers on determining the coordinates of a unique point P on the parametric curve defined by the equations (x, y, z) = (3 - t, -1 - 3t^2, 2t + 2t^3). The correct values for t and k are identified as t = -1 and k = 2. Participants confirm that the tangent line at point P passes through the coordinates (2, 8, 12), and the correct z-coordinate is established as 12. The discussion emphasizes the importance of verifying calculations when solving parametric equations.

PREREQUISITES
  • Understanding of parametric equations
  • Knowledge of tangent lines in three-dimensional space
  • Familiarity with solving equations for multiple variables
  • Basic proficiency in LaTeX for mathematical notation
NEXT STEPS
  • Study the derivation of tangent lines for parametric curves
  • Learn how to apply the chain rule in multivariable calculus
  • Explore the use of LaTeX for formatting mathematical expressions
  • Investigate the implications of unique solutions in parametric equations
USEFUL FOR

Students studying calculus, particularly those focusing on parametric equations and tangent lines, as well as educators looking for examples of problem-solving in three-dimensional geometry.

cherry
Messages
25
Reaction score
6
Homework Statement
A curve given parametrically by (x, y, z) = (3 - t, -1 - 3t^2, 2t + 2t^3). There is a unique point P on the curve with the property that the tangent line at P passes through the point (2, 8, 12). What are the coordinates of point P?
Relevant Equations
(x, y, z) = (3 - t, -1 - 3t^2, 2t + 2t^3)
My work so far:
IMG_5937C097F81C-1.jpeg


I am stuck because when I inputted the two possible values of t and k, neither solution worked. Where did I go wrong? Pointers would be appreciated! :)
 
  • Care
Likes   Reactions: Delta2
Physics news on Phys.org
cherry said:
Homework Statement: A curve given parametrically by (x, y, z) = (3 - t, -1 - 3t^2, 2t + 2t^3). There is a unique point P on the curve with the property that the tangent line at P passes through the point (2, 8, 12). What are the coordinates of point P?
Relevant Equations: (x, y, z) = (3 - t, -1 - 3t^2, 2t + 2t^3)

My work so far:
View attachment 338514

I am stuck because when I inputted the two possible values of t and k, neither solution worked. Where did I go wrong? Pointers would be appreciated! :)
I see where I went wrong and it turns out t = -1 and k = 2 is the correct solution.
Where would I go from there to determine point P?
 
cherry said:
I see where I went wrong and it turns out t = -1 and k = 2 is the correct solution.
Hello @cherry, and
:welcome: ##\qquad## !​

Kudos for finding out!
1705184825929.png
is indeed 12, not 16. (*)

cherry said:
Where would I go from there to determine point P?
You have ##(x, y, z) = (3 - t\; , -1 - 3t^2\; , 2t + 2t^3) \ !##(*) quoting is a lot easier if ##\LaTeX## is used. See link to guide at lower left of edit window...

[edit] I didn't check if k=2 is the correct solution, nor whether the other solution is invalid
[edit] did now.

##\ ##
 

Similar threads

Replies
3
Views
2K
  • · Replies 3 ·
Replies
3
Views
2K
  • · Replies 3 ·
Replies
3
Views
3K
  • · Replies 8 ·
Replies
8
Views
2K
  • · Replies 11 ·
Replies
11
Views
3K
  • · Replies 9 ·
Replies
9
Views
2K
  • · Replies 6 ·
Replies
6
Views
4K
Replies
4
Views
3K
Replies
1
Views
2K
  • · Replies 7 ·
Replies
7
Views
2K