Pore Water Pressure and Shear Strength of Soil: Understanding the Relationship

Click For Summary
SUMMARY

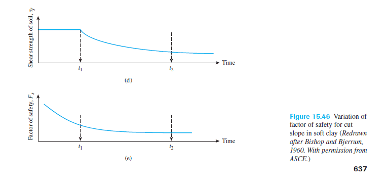
The discussion centers on the relationship between pore water pressure and the shear strength of soil, specifically addressing the misconception that shear strength increases as pore water pressure dissipates. It is established that as pore water pressure decreases, the effective stress increases, leading to an increase in shear strength. Additionally, the phenomenon of negative excess pore water pressure during unloading is linked to the capillary rise effect, particularly in cut slope scenarios.

PREREQUISITES
  • Understanding of effective stress principle in soil mechanics
  • Knowledge of pore water pressure dynamics
  • Familiarity with soil shear strength concepts
  • Basic principles of capillarity in soils
NEXT STEPS
  • Research the effective stress equation in soil mechanics
  • Study the effects of pore water pressure on soil stability
  • Explore the concept of capillary rise in soils
  • Investigate the implications of negative pore water pressure in geotechnical engineering
USEFUL FOR

Geotechnical engineers, civil engineering students, and professionals involved in soil stability analysis and slope design will benefit from this discussion.

tzx9633

Homework Statement


In the notes , I can't understand that why as the pore water pressure dissipated , the shear strength of soil will decrease
secondly , why the excess pore water pressure is negative when unloading occur ?

Homework Equations

The Attempt at a Solution


I think it's wrong , as the pore water pressure dissipated , the shear strength of soil should increase , am i right ? This is because total stress = effective stress + pore water pressure stress , i assume shear stress = effective stress here . Correct me if i am wrong ...
 

Attachments

  • 761.PNG
    761.PNG
    27.5 KB · Views: 526
  • 762.PNG
    762.PNG
    8.7 KB · Views: 469
  • 763.PNG
    763.PNG
    9.2 KB · Views: 476
Physics news on Phys.org
The pore pressure dropped to negative in the beginning of the cut , does it related to zone of capillary rise ? If yes ,. i can't relate it to the case of cut slope , can someone help ?
 

Similar threads

  • · Replies 9 ·
Replies
9
Views
2K
Replies
1
Views
3K
  • · Replies 10 ·
Replies
10
Views
3K
  • · Replies 1 ·
Replies
1
Views
4K
  • · Replies 3 ·
Replies
3
Views
5K
Replies
2
Views
10K
  • · Replies 1 ·
Replies
1
Views
3K
  • · Replies 7 ·
Replies
7
Views
1K
  • · Replies 2 ·
Replies
2
Views
7K
Replies
25
Views
5K