Queueing Models: Generator Matrix for M/M/2/2 & M/M/2/4

  • Context: Undergrad 
  • Thread starter Thread starter CTK
  • Start date Start date
  • Tags Tags
    Models
Click For Summary

Discussion Overview

The discussion revolves around the generator matrix for queueing models, specifically M/M/2/2 and M/M/2/4 systems. Participants explore the characteristics of these models, including their state representations and transition rates, while addressing the challenges in deriving the canonical form of the generator matrix for the M/M/2/2 case.

Discussion Character

  • Technical explanation
  • Debate/contested
  • Mathematical reasoning

Main Points Raised

  • Some participants describe the M/M/C/K notation, explaining the implications of memoryless arrival and service times, as well as the significance of the number of servers and queue capacity.
  • There is a discussion about the generator matrix for M/M/2/4 being straightforward due to its classification as an Erlang-C model, while M/M/2/2 is identified as an Erlang-B model, leading to questions about its canonical form.
  • Some participants express confusion regarding the structure of the generator matrix for M/M/2/2, questioning whether it should be a 4x4 matrix and if it should resemble the matrix for M/M/2/4.
  • Participants debate the transition rates between states in the system, particularly from (1,1) to (1,2) and (2,1), suggesting that these rates are influenced by the arrival rate λ.
  • There are corrections regarding the number of states in the system, with some participants asserting that there are five states instead of four, and discussing the implications of having c processors in relation to the matrix coefficients.

Areas of Agreement / Disagreement

Participants express differing views on the structure and properties of the generator matrix for M/M/2/2 and M/M/2/4. There is no consensus on the exact form of the generator matrix for M/M/2/2, and confusion persists regarding the transition rates and state representations.

Contextual Notes

Participants mention that the problem involves two independent M/M/1/2 queues, which adds complexity to the discussion of the generator matrix. There are unresolved questions regarding the transition rates and the correct formulation of the generator matrix based on the specific characteristics of the queueing models.

Who May Find This Useful

This discussion may be useful for students and professionals interested in queueing theory, Markov processes, and the mathematical modeling of systems involving multiple servers and limited queue capacities.

CTK
Messages
35
Reaction score
4
TL;DR
What is the generator matrix for the following two different Queueing models?
Hello there,

If we have M/M/C/K = M/M/2/2 (where note that the first M stands for memoryless arrival times for the packets (thus described by a Poisson process(lambda)), the second M stands for memoryless service times (i.e. described by an exponentially distributed(mu)), the number 2 for C means that there are two servers handling the packets and the number 2 for K is the maximum size of the queue, which is 2. Note that arrivals to a full queue are simply rejected.

What is the generator matrix (Q) for a system of M/M/2/2? What about for M/M/2/4?

My attempt: I know what is it for M/M/2/4 given that K > C (just included it to explain what I am exactly after), but is there any way to have a canonical form of the generator matrix for M/M/C/C such as M/M/2/2? Any help would be appreciate it.
Thanks for your help in advance
 
Physics news on Phys.org
CTK said:
I know what is it for M/M/2/4.
Can you show what this is? I don't understand why you have a difficulty using the same logic for M/M/2/2.
 
pbuk said:
Can you show what this is? I don't understand why you have a difficulty using the same logic for M/M/2/2.
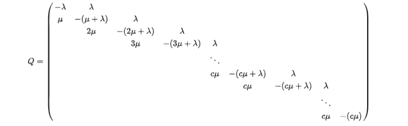
So for M/M/2/4 it is simply Erlang-C model because c is not equal to k (I have attached a picture of that, which is just from Wikipedia). But when we are dealing with M/M/2/2 then here c = k, so we are dealing with Erlang-B model, and I couldn't find anything about Erlang-B model's canonical form matrix anywhere. So any help would be appreciate it.
 

Attachments

  • Screenshot (2646).png
    Screenshot (2646).png
    4.5 KB · Views: 194
CTK said:
So for M/M/2/4 it is simply Erlang-C model because c is not equal to k (I have attached a picture of that, which is just from Wikipedia). But when we are dealing with M/M/2/2 then here c = k, so we are dealing with Erlang-B model, and I couldn't find anything about Erlang-B model's canonical form matrix anywhere. So any help would be appreciate it.
And just to give you more context. This is the problem that I am trying to solve:

A system comprises two single-server queues (X(t) : t ≥ 0) and (Y (t) : t ≥ 0), each with capacity K = 2 (i.e. the number of customers in each system is either 0, 1 or 2). Each queue has customers arriving according to a Poisson process with rate λ, independently of the other queue and of past history. When a queue is at full capacity, arrivals to that queue are turned away and do not return, and nor do they join the other queue. Service times are mutually independent within and between queues, and they are independent of the arrival processes and of past history. Service times for each queue are Exp(µ) random variables. The state of the system at time t is represented by the vector (X(t), Y (t)). Suppose that the queues are both at full capacity initially (i.e. X(0), Y (0) = (2, 2)).
We are interested in the expected time until either one of the two servers becomes idle: that is, the expected time until the system first reaches one of the states A = {(0, 0), (0, 1), (0, 2), (1, 0), (2, 0)}.
Also, label the states (1, 1), (1, 2), (2, 1), (2, 2) as 1, 2, 3, 4 respectively.

(a) Determine ri , for each of the states i = 1, 2, 3, 4, and write down the matrix RA = (ri,j : i, j = 1, 2, 3, 4).

If you could help me with this one, then I would really appreciate it, because it is such a struggle, thanks.
 
  • How many rows does the M/M/2/2 matrix have?
  • Do you think there is any reason the first, second and third rows should be different from the one in Wikipedia?
  • What do you think the last row should look like?
 
pbuk said:
  • How many rows does the M/M/2/2 matrix have?
  • Do you think there is any reason the first, second and third rows should be different from the one in Wikipedia?
  • What do you think the last row should look like?
1-) Would the matrix just be 4x4?
2-) In my opinion, all of the matrix in Wikipedia should still be exactly the same for all of the rows even if k = c, is that correct?
3-) I think it would still look like the same, am I right?
 
CTK said:
And just to give you more context. This is the problem that I am trying to solve:

A system comprises two single-server queues (X(t) : t ≥ 0) and (Y (t) : t ≥ 0), each with capacity K = 2 (i.e. the number of customers in each system is either 0, 1 or 2). Each queue has customers arriving according to a Poisson process with rate λ, independently of the other queue and of past history. When a queue is at full capacity, arrivals to that queue are turned away and do not return, and nor do they join the other queue. Service times are mutually independent within and between queues, and they are independent of the arrival processes and of past history. Service times for each queue are Exp(µ) random variables. The state of the system at time t is represented by the vector (X(t), Y (t)). Suppose that the queues are both at full capacity initially (i.e. X(0), Y (0) = (2, 2)).
We are interested in the expected time until either one of the two servers becomes idle: that is, the expected time until the system first reaches one of the states A = {(0, 0), (0, 1), (0, 2), (1, 0), (2, 0)}.
Also, label the states (1, 1), (1, 2), (2, 1), (2, 2) as 1, 2, 3, 4 respectively.

(a) Determine ri , for each of the states i = 1, 2, 3, 4, and write down the matrix RA = (ri,j : i, j = 1, 2, 3, 4).

If you could help me with this one, then I would really appreciate it, because it is such a struggle, thanks.
Ok I think I am confusing myself here. Just to double check, is this problem about M/M/2/2 or M/M/2/4?
 
CTK said:
1-) Would the matrix just be 4x4?
2-) In my opinion, all of the matrix in Wikipedia should still be exactly the same for all of the rows even if k = c, is that correct?
3-) I think it would still look like the same, am I right?
Edit: this is wrong, I will replace with another post.
1 - Yes
2 - The first two rows are the same, but the coefficient of 3 in the third row assumes 3 servers so cannot be right.
3 - Yes
 
Last edited:
CTK said:
Ok I think I am confusing myself here. Just to double check, is this problem about M/M/2/2 or M/M/2/4?
Neither. It is about two independent M/M/1/2 queues.
 
  • #10
pbuk said:
1 - Yes
2 - The first two rows are the same, but the coefficient of 3 in the third row assumes 3 servers so cannot be right.
3 - Yes
2-) But the coefficient of 3 doesn't take place in the third row, but fourth row.
 
  • #11
pbuk said:
Neither. It is about two independent M/M/1/2 queues.
oh ok! So how can I combine them both in one matrix then?
 
  • #12
1-) Would the matrix just be 4x4?
CTK said:
2-) In my opinion, all of the matrix in Wikipedia should still be exactly the same for all of the rows even if k = c, is that correct?
3-) I think it would still look like the same, am I right?
Sorry, I gave wrong answers to this before.
1-) No, there are five states (with ## {0, 1, 2, 3 \text{ or } 4} ## customers in the system).
2-) No, there are only ## c ## processors so the maximum coefficient of ## \mu ## appearing in the matrix must be ## c ##.
3-) Yes, the last row is the same.

CTK said:
oh ok! So how can I combine them both in one matrix then?
You can't, you need to work from first principles.

What is the transition rate from state 1 (1, 1) to state 2 (1, 2)?

Where did this question come from by the way?
 
Last edited:
  • #13
pbuk said:
1-) Would the matrix just be 4x4?

Sorry, I gave wrong answers to this before.
1-) No, there are five states (with ## {0, 1, 2, 3 \text{or} 4} ## customers in the system).
2-) No, there are only ## c ## processors so the maximum coefficient of ## \mu ## appearing in the matrix must be ## c ##.
3-) Yes, the last row is the same.You can't, you need to work from first principles.

What is the transition rate from state 1 (1, 1) to state 2 (1, 2)?

Where did this question come from by the way?
Thanks for the correction.
The question comes from one of my statistics and probability units from uni, it's about markov chains and processes.
So from (1,1) to (1,2), is it just \lambda?
And I will tell you for the rest and please let me know if I am wrong?
(1,1) to (2,1) is \lambda as well because we only have an increase of one customer?
(1,1) to (2,2) is 2\lambda because we have an increase of two customers?
(1,2) to (1,1) is \mu because it is the death (by death I mean has been served) of one customer?
(1,2) to (1,2) is zero?
(1,2) to (2,1) is \lambda * \mu?
(1,2) to (2,2) is \lambda?
(2,1) to (1,1) is \mu?
(2,1) to (1,2) is \mu * \lambda?
(2,1) to (2,2) is \lambda?
(2,2) to (1,1) is 2 * \mu?
(2,2) to (1,2) is \mu?
(2,2) to (2,1) = \mu?
(2,2) to (2,2) is just zero?

I would really appreciate it if you could check me and correct me if I am wrong?

Thank you very much.
 
Last edited:
  • #14
CTK said:
The question comes from one of my statistics and probability units from uni, it's about markov chains and processes.
Thanks for this information.

CTK said:
So from (1,1) to (1,2), is it lambda(mu + 2)?
Do you think it makes sense to multiply two rates together?

We are looking at the transition rate from state 1 (1, 1) to state 2 (1, 2): this is simply the rate of arrivals in queue 2 i.e. ## \lambda ##. So ## r_{1,2} = \lambda ##.

What about ## r_{1,3} ##?

And ## r_{1,4} ##?
Is it possible for people to arrive at two independent queues at exactly the same time?[/hint]
 
  • #15
pbuk said:
Thanks for this information.Do you think it makes sense to multiply two rates together?

We are looking at the transition rate from state 1 (1, 1) to state 2 (1, 2): this is simply the rate of arrivals in queue 2 i.e. ## \lambda ##. So ## r_{1,2} = \lambda ##.

What about ## r_{1,3} ##?

And ## r_{1,4} ##?
Is it possible for people to arrive at two independent queues at exactly the same time?[/hint]
So the reason I was multiplying both rates is because for (1,1) to (1,2) we could have a scenario for server 1 to have served one customer and a new customer has come (so that's ## \mu * \lambda ##) and for server 2, we have one customer has arrived OR one customer has been served and 2 arrived (so that's 2 * ## \mu * \lambda ## + ## \lambda ##)...so ## r_{1,2} = (2 * \lambda * \mu) * (1+ \lambda) ##.
But it seems I have been thinking about it incorrectly.

So in this case, would we have the following scenarios:

## r_{1,1} = 0 ## because 2 things can't happen simultaneously\
## r_{1,2} = \lambda ##
## r_{1,3} = \lambda ##
## r_{1,4} = 0 ## because we can't have a situation where two customers arriving at two independent queues at exactly the same time

## r_{2,1} = \mu ##.
## r_{2,2} = 0 ##.
## r_{2,3} = \lambda * \mu ## because we have an increase in one server and a decrease in another server (or is it 0 because we can't have 1 customer being served in one server and another one just arrived at another server, both at the exact same time?)
## r_{2,4} = \lambda ##.

## r_{3,1} = \mu ##.
## r_{3,2} = 0 ## because 2 things can't happen simultaneously
## r_{3,3} = 0 ##
## r_{3,4} = \lambda ##.

## r_{4,1} = 0 ## because 2 things can't happen simultaneously
## r_{4,2} = \mu ##
## r_{4,3} = \mu ##
## r_{4,4} = 0 ##

Is that correct?
 
  • Like
Likes   Reactions: pbuk
  • #16
CTK said:
So in this case, would we have the following scenarios:
It's pretty close! I'll start at the end...

CTK said:
## r_{4,1} = 0 ## because 2 things can't happen simultaneously
## r_{4,2} = \mu ##
## r_{4,3} = \mu ##
All good, but ## r_{4,4} ## is not zero, it is the (negative) rate of transition from state 4 to other states so ## r_{4,4} = \Sigma_{j \ne 4} r_{4,j} = -2 \mu ##.

CTK said:
## r_{3,1} = \mu ##.
## r_{3,2} = 0 ## because 2 things can't happen simultaneously
## r_{3,3} = 0 ##
## r_{3,4} = \lambda ##.
Good except for ## r_{3,3} ## as above.

CTK said:
## r_{2,1} = \mu ##.
## r_{2,2} = 0 ##.
## r_{2,3} = \lambda * \mu ## because we have an increase in one server and a decrease in another server (or is it 0 because we can't have 1 customer being served in one server and another one just arrived at another server, both at the exact same time?)
## r_{2,4} = \lambda ##.
## r_{2,3} = 0 ## as per your second argument as for ## r_{3,2} ##. ## r_{2,2} ## again makes the row sum to zero.

CTK said:
## r_{1,2} = \lambda ##
## r_{1,3} = \lambda ##
## r_{1,4} = 0 ## because we can't have a situation where two customers arriving at two independent queues at exactly the same time
These are good, but ## r_{1,1} ## is troublesome. If we follow the rule that rows must sum to 0 then it should be ## -2 \lambda ##, but note that it is also possible to transition from (1,1) to (0,1) or (1,0), and I think you will have to take account of these as well in order to answer the rest of the question (I don't see how you can get the time to the first idle state otherwise).

Oh, I have seen a problem - it is also possible to transition from (1,2) (state 2) to (0,2) so perhaps ## r_{2,2} = -(\lambda + \mu) ##, and the same for ## r_{3,3} ##? This is not how transition matrices normally work (we normally include all states) so I think you will have to try this and see how it goes.
 
  • #17
pbuk said:
It's pretty close! I'll start at the end...All good, but ## r_{4,4} ## is not zero, it is the (negative) rate of transition from state 4 to other states so ## r_{4,4} = \Sigma_{j \ne 4} r_{4,j} = -2 \mu ##.Good except for ## r_{3,3} ## as above.## r_{2,3} = 0 ## as per your second argument as for ## r_{3,2} ##. ## r_{2,2} ## again makes the row sum to zero.These are good, but ## r_{1,1} ## is troublesome. If we follow the rule that rows must sum to 0 then it should be ## -2 \lambda ##, but note that it is also possible to transition from (1,1) to (0,1) or (1,0), and I think you will have to take account of these as well in order to answer the rest of the question (I don't see how you can get the time to the first idle state otherwise).

Oh, I have seen a problem - it is also possible to transition from (1,2) (state 2) to (0,2) so perhaps ## r_{2,2} = -(\lambda + \mu) ##, and the same for ## r_{3,3} ##? This is not how transition matrices normally work (we normally include all states) so I think you will have to try this and see how it goes.

Firstly, thanks for your help, you are a very helpful person
Secondly, I think we don't need to worry about (1,0), etc. according to the question.
Thirdly, I think r{2,2} should be ## -(\lambda + \mu) ## anyway to make the row sum up to zero, even if there is no transition from (1,2) to (0,2).
Lastly, for ## r_{i} ##; where ## i = 1,2,3,4 ##, is it the following:

## r_{1} ## is a transition from (2,2) to (1,1), so it is equal to 0 because we can't have 2 things happening simultaneously in 2 different servers?
## r_{2} ## is a transition from (2,2) to (1,2), so it is equal to ## \mu ##?
## r_{3} ## is a transition from (2,2) to ( 2,1), so is it equal to ## \mu ## as well?
## r_{4} ## is a transition from (2,2) to (2,2), so is it equal to ## -2\mu ##?
 
Last edited:
  • Like
Likes   Reactions: pbuk
  • #18
CTK said:
Lastly, for ## r_{i} ##; where ## i = 1,2,3,4 ##, is it the following:

## r_{1} ## is a transition from (2,2) to (1,1), so it is equal to 0 because we can't have 2 things happening simultaneously in 2 different servers?
## r_{2} ## is a transition from (2,2) to (1,2), so it is equal to ## \mu ##?
## r_{3} ## is a transition from (2,2) to ( 2,1), so is it equal to ## \mu ## as well?
## r_{4} ## is a transition from (2,2) to (2,2), so is it equal to ## -2\mu ##?
I'm not sure what you mean by ## r_{i} ## but these entries are correct for ## r_{4,i} ##.
 
  • #19
pbuk said:
I'm not sure what you mean by ## r_{i} ## but these entries are correct for ## r_{4,i} ##.
yeah it's for ## r_{4,i} ## cheers.
 
  • Like
Likes   Reactions: pbuk

Similar threads

  • · Replies 29 ·
Replies
29
Views
7K
  • · Replies 9 ·
Replies
9
Views
3K
Replies
0
Views
3K
  • · Replies 4 ·
Replies
4
Views
3K
Replies
31
Views
4K
  • · Replies 3 ·
Replies
3
Views
2K
Replies
6
Views
2K
Replies
4
Views
3K
Replies
7
Views
1K
  • · Replies 1 ·
Replies
1
Views
2K