Rate of change of area with deformation

Click For Summary

Homework Help Overview

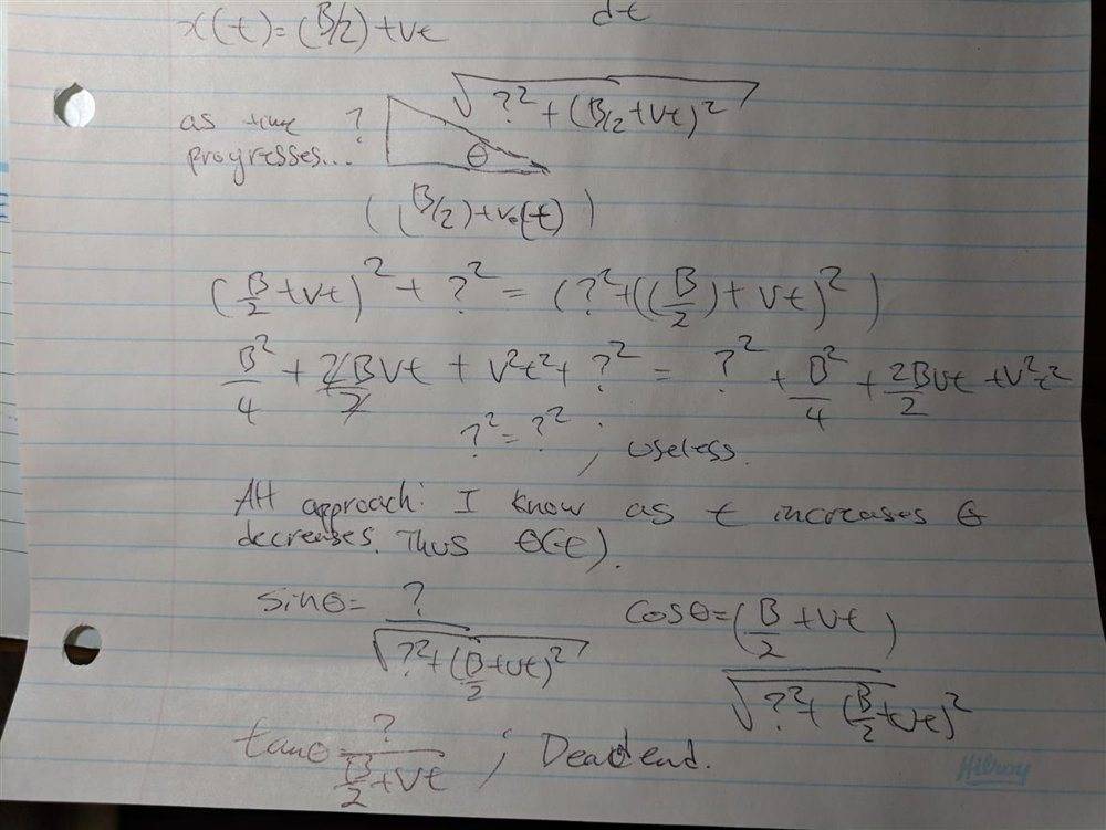
The discussion revolves around the rate of change of area with deformation, specifically in the context of a wire being stretched. Participants are exploring how to parameterize the variables involved in this problem.

Discussion Character

  • Exploratory, Assumption checking

Approaches and Questions Raised

  • The original poster attempts to seek guidance on how to begin the problem and parameterize the variables. Some participants question the clarity of the provided image and the description of the situation, particularly regarding the relationship between stretching the wire and the variable y.

Discussion Status

The discussion is currently focused on clarifying the problem setup and ensuring that the original poster provides a clearer representation of their work. There is an emphasis on understanding the assumptions made in the problem statement.

Contextual Notes

Coderhk
Messages
59
Reaction score
2
Homework Statement
Suppose I had a coil as shown in the picture. If I was to stretch the wire in the x-axis at a rate v. What is the area as a function of time.
Relevant Equations
X^2+Y^2=z^2
241230
241231
Could I please get a hint on how I should start this question/how I should parameterize these variables?
I'm going to head to sleep as I am from the eastern time zone. I apologize ahead of time for my delayed reply.
 
Last edited:
Physics news on Phys.org
The image you posted was very poor quality, with bad lighting. Please post a clearer image of your work.
 
Mark44 said:
Please post a clearer image of your work.
Or, preferably, type it out.
 
You will also have to describe better the situation you are considering. In the problem statement, you say you stretch the wire, but in your solution you say that y decreases with time.
 

Similar threads

  • · Replies 33 ·
2
Replies
33
Views
3K
  • · Replies 13 ·
Replies
13
Views
2K
  • · Replies 14 ·
Replies
14
Views
4K
  • · Replies 3 ·
Replies
3
Views
6K
  • · Replies 2 ·
Replies
2
Views
2K
  • · Replies 1 ·
Replies
1
Views
2K
Replies
4
Views
4K
  • · Replies 8 ·
Replies
8
Views
2K
Replies
11
Views
3K
  • · Replies 16 ·
Replies
16
Views
3K