Relative velocity and projectile motion problem solving

Click For Summary

Homework Help Overview

The discussion revolves around a problem involving relative velocity and projectile motion, with participants sharing their attempts at solutions and seeking feedback on their reasoning and calculations.

Discussion Character

  • Mixed

Approaches and Questions Raised

  • Participants are reviewing each other's solutions, questioning the ownership of the solutions, and discussing the accuracy of calculations. Some express concerns about the clarity of numerical results and the potential for arithmetic errors.

Discussion Status

The discussion is active, with participants providing feedback and suggestions for checking work. There is a focus on ensuring that the steps taken in the solutions are correct, but no consensus has been reached on the final outcomes.

Contextual Notes

Some participants mention the need to plug in values into kinematic equations and check for arithmetic errors, indicating a focus on the accuracy of the calculations involved in the problem.

SAM31
Messages
3
Reaction score
0
Homework Statement
Question 2:A golf ball is hit from 4.3 m above a golfing fairway with an initial velocity of 30.0 m/s at an angle of 35° above the horizontal.
A. Determine the time of flight for the ball.
B. Determine the range for the golf ball.
C. Determine the velocity for the golf ball the instant before the ball impacts the ground.
Relevant Equations
Pythagorean theorem equations
2.21.png

2.22.png

2.23.png


2.24.png
 
Physics news on Phys.org
It seems that you have a complete solution. Is there a question you wish to ask or are you posting a solution for the benefit of others?
 
kuruman said:
It seems that you have a complete solution. Is there a question you wish to ask?
I was wondering if someone could look over the steps to ensure I'm on the right track and provide me with any feedback!
 
Is this your solution or someone else's? If yours, it looks professional. I have not put in the numbers, but it looks right.
 
kuruman said:
Is this your solution or someone else's?
This is my own attempt at a solution for the question asked above
 
See edited post #4. If you wish to check your work, plug in the time of flight in the kinematic equations and see if the ball lands where you thought it would be.
 
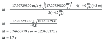
Arithmetic errors creep in here:

1663678021724.png

but they do not affect the final results to 2sf, and otherwise it looks good.
 
SAM31 said:
This is my own attempt at a solution for the question asked above
All those long decimal numbers don't look good to me. This is why algebra was invented.
 
  • Like
Likes   Reactions: SammyS

Similar threads

  • · Replies 3 ·
Replies
3
Views
1K
Replies
9
Views
2K
  • · Replies 2 ·
Replies
2
Views
823
Replies
40
Views
3K
  • · Replies 18 ·
Replies
18
Views
3K
  • · Replies 2 ·
Replies
2
Views
2K
  • · Replies 11 ·
Replies
11
Views
2K
  • · Replies 4 ·
Replies
4
Views
3K
Replies
19
Views
3K
  • · Replies 18 ·
Replies
18
Views
5K