Schrödinger equation and interaction Hamiltonian

Click For Summary

Discussion Overview

The discussion revolves around the application of the Schrödinger equation in the context of quantum mechanics, specifically focusing on the interaction Hamiltonian and its implications for certain states and energy levels. Participants are attempting to reproduce specific results (1A.3 and 1A.4) and clarify the relationships between various operators and states.

Discussion Character

  • Exploratory
  • Technical explanation
  • Debate/contested
  • Mathematical reasoning

Main Points Raised

  • One participant expresses difficulty in applying the Schrödinger equation to reproduce specific results, questioning their method and assumptions regarding the interaction Hamiltonian.
  • Several participants seek clarification on the definitions of states and the interaction Hamiltonian, with one noting that ##\hat{W}## is defined as the interaction Hamiltonian.
  • There are multiple guesses about the form of the Hamiltonian, with one participant suggesting ##\hat{H} = \hat{H}_0 + \hat{W}## and relating energy differences to the eigenvalues of ##\hat{H}_0##.
  • Another participant questions the validity of certain relations involving the interaction Hamiltonian and the states, particularly in the context of annihilation/creation operators.
  • One participant proposes a method for calculating matrix elements using the Schrödinger equation and the eigenstates of ##H_0##.
  • There is a discussion about the Hermiticity of the operator ##\hat{W}## and the reality of a derived expression for ##w_k##.

Areas of Agreement / Disagreement

Participants express varying levels of understanding and assumptions regarding the interaction Hamiltonian and its application. There is no consensus on the correctness of the methods or the relationships between the operators and states discussed.

Contextual Notes

Some assumptions about the definitions of states and operators are not explicitly stated, and the discussion includes unresolved questions about the properties of the interaction Hamiltonian.

TheCanadian
Messages
361
Reaction score
13
Screen Shot 2016-05-12 at 11.36.38 AM.png
Screen Shot 2016-05-12 at 11.36.48 AM.png


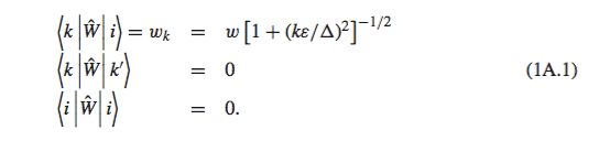
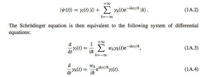
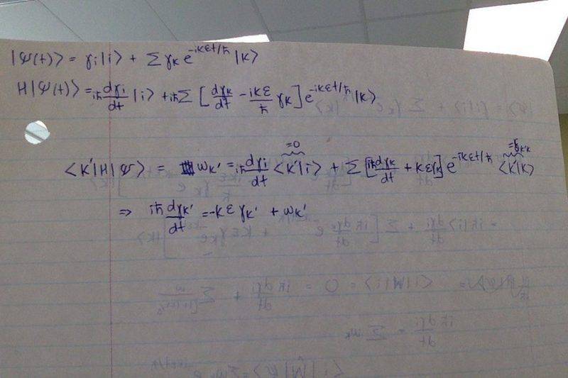
Given 1A.1 and 1A.2, I have been trying to apply the Schrödinger equation to reproduce 1A.3 and 1A.4 but have been struggling a bit. I was under the assumption that by applying ##\hat{W} \rvert {\psi} \rangle= i\hbar \frac {d}{dt} \rvert{\psi} \rangle## and then taking ##\langle{k'} \lvert \hat{W} \rvert{\psi} \rangle ## and ## \langle{i}\lvert \hat{W} \rvert{\psi} \rangle## would allow me to produce 1A.3 and 1A.4. I may very well be incorrect in my methods, but did the following rough calculation and got a very different result. (In my calculation, I assumed ## \hat{W} = H ##.)

Photo on 2016-05-12 at 12.02 PM.jpg
Any clarification on how to reproduce 1A.3 and 1A.4 would be greatly appreciated.
 
Physics news on Phys.org
What are ##|i\rangle##, ##|k\rangle##, and ##w##? Moreover, how can you assume that ##H=W##? The answer of all of these questions should be available in the resource you have there.
 
blue_leaf77 said:
What are ##|i\rangle##, ##|k\rangle##, and ##w##? Moreover, how can you assume that ##H=W##? The answer of all of these questions should be available in the resource you have there.

## \hat {W} ## is defined as the interaction Hamiltonian. ##|i\rangle## is the initial state the system is prepared in and ##|k\rangle## are all possible states it can evolve into where k is allowed to take all values between ## - \infty ## to ## \infty ## except ##i##.
 
My guess is that ##\hat{H} = \hat{H}_0 + \hat{W}##, and that ##\varepsilon## has something to do with the energy in the absence of the interaction (i.e., the eigenvalue of ##\hat{H}_0##.

More details are needed. A reference would be nice.
 
DrClaude said:
My guess is that ##\hat{H} = \hat{H}_0 + \hat{W}##, and that ##\varepsilon## has something to do with the energy in the absence of the interaction (i.e., the eigenvalue of ##\hat{H}_0##.

More details are needed. A reference would be nice.

The initial state ## \rvert i \rangle ## has an energy equal to 0, and each state is separated in energy by a difference of ##\varepsilon##. The energy difference between ## \rvert i \rangle ## and ## \rvert k \rangle ## is k##\varepsilon##.

Sure. This is Introduction to Quantum Optics by Grynberg and this problem begins on page 34.
 
So ##\hat{H} | k \rangle = k \varepsilon | k \rangle + \hat{W} | k \rangle##. Try that in your method.
 
DrClaude said:
So ##\hat{H} | k \rangle = k \varepsilon | k \rangle + \hat{W} | k \rangle##. Try that in your method.

I got it, thank you!

Just one more question, is the statement ##\langle{i} \lvert \hat{W} \rvert{k} \rangle = w_k ## necessarily true if ##\langle{k} \lvert \hat{W} \rvert{i} \rangle = w_k ## ?

If ##\hat{W} ## was an annihilation/creation operator, it seems like this definitely would not be true. Although I had to use both relations written above when reproducing 1A.3 and 1A.4. It might just be something regarding the density matrix that I missed in the text or might be implicitly assumed.
 
I haven't done the calculation, but is the idea to calculate ##\left<k'|H|\psi \right>## twice, once using the Schrödinger equation, and once using ##H = H_0 + W## (?) together with the facts that 1) the kets are eigenstates (as in Dr. Claude's post) of ##H_0## and 2) the relations given in the original post.

Edit: TheCanadian posted while I was writing my post. This thread seems to have a surplus of Canadians.
 
TheCanadian said:
Just one more question, is the statement ##\langle{i} \lvert \hat{W} \rvert{k} \rangle = w_k ## necessarily true if ##\langle{k} \lvert \hat{W} \rvert{i} \rangle = w_k ## ?

Is ##\hat{W}## Hermitian and

$$w_k = \frac{w}{\sqrt{1+\left(\frac{k \epsilon}{\Delta}\right)^2}}$$

real?
 

Similar threads

  • · Replies 2 ·
Replies
2
Views
607
  • · Replies 4 ·
Replies
4
Views
891
  • · Replies 8 ·
Replies
8
Views
2K
  • · Replies 4 ·
Replies
4
Views
2K
  • · Replies 2 ·
Replies
2
Views
600
  • · Replies 3 ·
Replies
3
Views
2K
  • · Replies 2 ·
Replies
2
Views
2K
  • · Replies 17 ·
Replies
17
Views
3K
  • · Replies 1 ·
Replies
1
Views
2K
  • · Replies 2 ·
Replies
2
Views
1K