Second derivative of Heaviside step function

Click For Summary

Discussion Overview

The discussion revolves around the computation of the second derivative of the Heaviside step function, particularly in the context of quantum field theory as presented in Peskin and Schroeder's work. Participants explore the implications of this computation for the Klein-Gordon operator and its propagator.

Discussion Character

  • Technical explanation, Conceptual clarification, Debate/contested

Main Points Raised

  • One participant notes that the first derivative of the Heaviside step function is the delta function, while the second derivative is represented as ##\delta'(x)##, which has a specific property when integrated against a test function.
  • Another participant confirms the correctness of the equation presented in Peskin and Schroeder, indicating that the retarded Green's function is proportional to the Heaviside function.
  • There is a reference to the relationship between the propagator and the Klein-Gordon operator, highlighting the role of the Heaviside function in this context.

Areas of Agreement / Disagreement

Participants generally agree on the properties of the derivatives of the Heaviside function and the correctness of the equation from Peskin and Schroeder, but there is no consensus on the implications or further computations related to these derivatives.

Contextual Notes

The discussion does not resolve the specific computational steps required for the second derivative of the Heaviside function, nor does it clarify the dependencies on definitions or assumptions related to the context of quantum field theory.

abhinavabhatt
Messages
6
Reaction score
1
TL;DR
Identifying Klein Gordon propagator as Green's Function
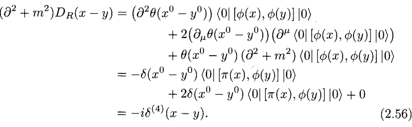
In QFT by peskin scroeder page 30 the action of Klein Gordon Operator on propagator
(∂2+m2)DR(x-y)=∂2θ(x0-y0)...

how to compute this
2θ(x0-y0)?
 

Attachments

  • vfvfvfv.PNG
    vfvfvfv.PNG
    13.8 KB · Views: 258
Physics news on Phys.org
First derivative is delta function. The second derivative ##\delta'(x)## has property
[tex]\int \delta'(x) f(x) dx = -f'(0)[/tex]
 
  • Like
Likes   Reactions: vanhees71
Thanks for the answer.
 
Note that Peskin and Schroeder write in fact the correct equation, i.e.,
$$(\Box+m^2) D_{R}(x-y)=-\mathrm{i} \delta^{(4)}(x-y).$$
Since by definition ##D_R(x-y) \propto \Theta(x^0-y^0)## this function is the retarded Green's function of the Klein-Gordon operator (modulo the usual conventional factor ##-\mathrm{i}## on the right-hand side).
 

Similar threads

  • · Replies 6 ·
Replies
6
Views
3K
  • · Replies 1 ·
Replies
1
Views
2K
  • · Replies 3 ·
Replies
3
Views
3K
  • · Replies 1 ·
Replies
1
Views
2K
Replies
1
Views
2K
  • · Replies 11 ·
Replies
11
Views
3K
  • · Replies 1 ·
Replies
1
Views
4K
  • · Replies 5 ·
Replies
5
Views
2K
Replies
18
Views
3K
  • · Replies 1 ·
Replies
1
Views
2K