- 32,819
- 4,723
Dear Student,
Many of you will continue with either remote or hybrid learning during the upcoming semester. If you are taking a STEM course, you no doubt will encounter situations where you will need to communicate with your instructor, especially when you have problems that you do not understand or you can't solve. If your instructor is anything like me, he/she will want to see what you have attempted, what you have tried, or to see your work if you didn't get the right answer. In other cases, maybe your online exams require that you submit a worked out solution, showing all the pertinent work and steps in arriving at the right answer.
Chances are, you will resort to writing these down on paper. After all, it is tedious and time-consuming to present all these mathematical typeset using your favorite word processing program, not to mention, you may also have to show sketches in your work. So the quickest way is often to simply write them out on paper. But how do you submit what you have done on paper electronically to your instructor?
Based on my experience, almost every student will simply whip out their smartphones, and snap a photo of what they had scribbled on paper, and e-mail that to the instructor. Unfortunately, what often happen here is that (i) the image is not very clear, often taken in low lighting or with shadows, and (ii) it was taken at some weird angle. Now this is all before looking at what is actually written on the page, because often times, even under perfect condition, many of the scribbling are undecipherable!
So you are really asking your instructor to spend a lot of time and a lot of eye-straining to read what you have written. Note that if he or she cannot clearly find what needs to be there, it is to your detriment that your instructor will not give you credit for it. Thus, it is to your advantage to present this as clearly as you can, especially if you are asking for help or if this is an exam submission.
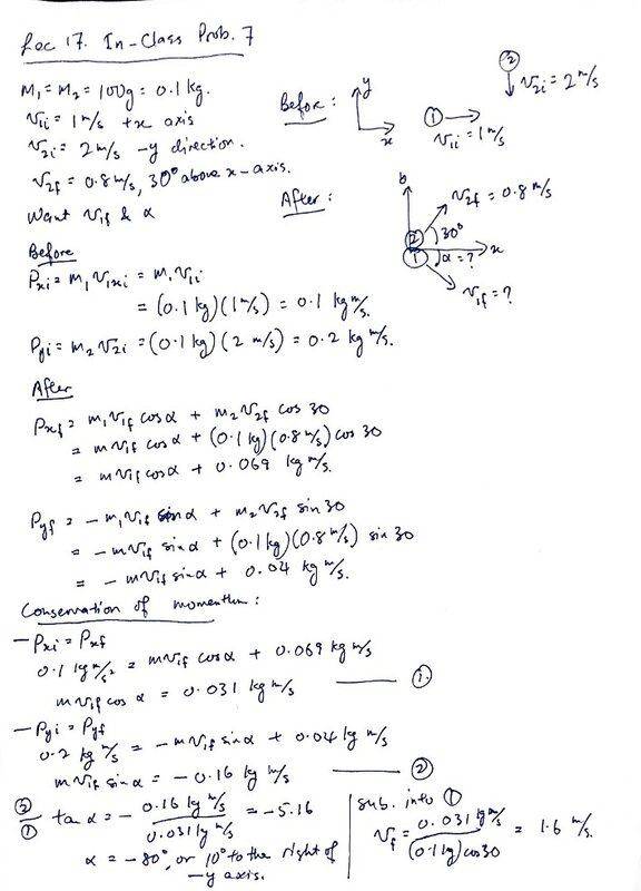
So what can a helpless student do? Here is my suggestion, and I will illustrate this via a quick example. This is a page of worked-out solution that I snapped with my phone camera. This is what I typically receive from my students. I have done no processing, no cropping, nothing.
I didn't not bother to snap this straight on, didn't pay attention to lighting, etc. I will say that this is actually clearer than the average snapshot that I get from my students, mainly because I had the sheet of paper on a black background. In most cases, I get blurry, low-light image that I had to do some post-processing just to be able to see the scribble!
Now, compare that to this next one. I took a snapshot of the same page, at the SAME angle, under identical lighting, using the same phone and phone camera, but this time, I used a scanner app that I have installed on my phone. The only thing that I had to do was confirm the boundary of the document that is in question, which is a feature of the scanner app. This is what I end up with.
Let me emphasize the difference and how easy it is to look at this second image when compared to the first, and all this with hardly any difference in the amount of effort involved! Think of how easy it is for your instructor to read the second image when compared to the first!
My point in all of this is that you should arm yourself with a good scanner app on your phone. There is a very good chance that you will need it to send your instructor similar scribbles, especially when we continue with remote learning for the foreseeable future. The scanner app that I used for this one is ClearScanner on iOS. The free version has limited capabilities with no OCR, but that is not necessary in most cases (I have the full, paid version). There are plenty of scanner app on iOS and Android, so pick one that you like. They will be able to produce significantly clearer document that you can send to your instructor when compared to just snapping a photo of your page.
BTW, this advice is also applicable to many members on PF, especially those seeking help in the Homework forum, where I often see poorly-captured images of handwritten work and sketches being uploaded. If you can't or don't know how to adjust the lighting and angle of what you are capturing, then you definitely need the scanner app.
So help your instructor to help you! Stop sending awful camera snapshot of your work. There are better ways to do this. We have the technology!
Zz.
Many of you will continue with either remote or hybrid learning during the upcoming semester. If you are taking a STEM course, you no doubt will encounter situations where you will need to communicate with your instructor, especially when you have problems that you do not understand or you can't solve. If your instructor is anything like me, he/she will want to see what you have attempted, what you have tried, or to see your work if you didn't get the right answer. In other cases, maybe your online exams require that you submit a worked out solution, showing all the pertinent work and steps in arriving at the right answer.
Chances are, you will resort to writing these down on paper. After all, it is tedious and time-consuming to present all these mathematical typeset using your favorite word processing program, not to mention, you may also have to show sketches in your work. So the quickest way is often to simply write them out on paper. But how do you submit what you have done on paper electronically to your instructor?
Based on my experience, almost every student will simply whip out their smartphones, and snap a photo of what they had scribbled on paper, and e-mail that to the instructor. Unfortunately, what often happen here is that (i) the image is not very clear, often taken in low lighting or with shadows, and (ii) it was taken at some weird angle. Now this is all before looking at what is actually written on the page, because often times, even under perfect condition, many of the scribbling are undecipherable!
So you are really asking your instructor to spend a lot of time and a lot of eye-straining to read what you have written. Note that if he or she cannot clearly find what needs to be there, it is to your detriment that your instructor will not give you credit for it. Thus, it is to your advantage to present this as clearly as you can, especially if you are asking for help or if this is an exam submission.
So what can a helpless student do? Here is my suggestion, and I will illustrate this via a quick example. This is a page of worked-out solution that I snapped with my phone camera. This is what I typically receive from my students. I have done no processing, no cropping, nothing.
I didn't not bother to snap this straight on, didn't pay attention to lighting, etc. I will say that this is actually clearer than the average snapshot that I get from my students, mainly because I had the sheet of paper on a black background. In most cases, I get blurry, low-light image that I had to do some post-processing just to be able to see the scribble!
Now, compare that to this next one. I took a snapshot of the same page, at the SAME angle, under identical lighting, using the same phone and phone camera, but this time, I used a scanner app that I have installed on my phone. The only thing that I had to do was confirm the boundary of the document that is in question, which is a feature of the scanner app. This is what I end up with.
Let me emphasize the difference and how easy it is to look at this second image when compared to the first, and all this with hardly any difference in the amount of effort involved! Think of how easy it is for your instructor to read the second image when compared to the first!
My point in all of this is that you should arm yourself with a good scanner app on your phone. There is a very good chance that you will need it to send your instructor similar scribbles, especially when we continue with remote learning for the foreseeable future. The scanner app that I used for this one is ClearScanner on iOS. The free version has limited capabilities with no OCR, but that is not necessary in most cases (I have the full, paid version). There are plenty of scanner app on iOS and Android, so pick one that you like. They will be able to produce significantly clearer document that you can send to your instructor when compared to just snapping a photo of your page.
BTW, this advice is also applicable to many members on PF, especially those seeking help in the Homework forum, where I often see poorly-captured images of handwritten work and sketches being uploaded. If you can't or don't know how to adjust the lighting and angle of what you are capturing, then you definitely need the scanner app.
So help your instructor to help you! Stop sending awful camera snapshot of your work. There are better ways to do this. We have the technology!
Zz.
This is from some old, quick-and-dirty lab notes from testing an experiment a year ago. They were only for my personal consumption. If I had intended to share them with someone, I would have written them more slowly.