Simplifying a differential equation

Click For Summary
SUMMARY

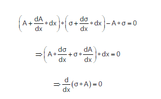
The discussion focuses on simplifying a differential equation where an extra term, specifically (dA/dx)*(dσ/dx)*dx*dx, arises during multiplication. This term is classified as second order in dx and can be disregarded because dx is an infinitesimal quantity. The primary term retained is first order in dx, which is essential for maintaining the accuracy of the equation.

PREREQUISITES
  • Understanding of differential equations
  • Familiarity with the concept of infinitesimals
  • Basic knowledge of calculus
  • Experience with mathematical notation and terminology
NEXT STEPS
  • Study the properties of infinitesimals in calculus
  • Learn about Taylor series and their applications in simplifying equations
  • Explore the concept of higher-order derivatives
  • Investigate the implications of neglecting higher-order terms in mathematical modeling
USEFUL FOR

Mathematicians, physics students, and anyone involved in solving or simplifying differential equations will benefit from this discussion.

mash17
Messages
1
Reaction score
0
When I multiply out the first line I end up with an extra (dA/dx)*(dσ/dx). Can someone please show me how i get from the first line to the second. Thanks
 

Attachments

  • j9kqT3d.png
    j9kqT3d.png
    3.1 KB · Views: 521
Physics news on Phys.org
The extra term is dA/dx · dσ/dx · dx · dx, which can be dropped because dx is an infinitesimal quantity and this term is second order in dx, infinitesimally smaller than the term you keep, which is first order.
 

Similar threads

  • · Replies 3 ·
Replies
3
Views
2K
  • · Replies 7 ·
Replies
7
Views
4K
  • · Replies 20 ·
Replies
20
Views
3K
  • · Replies 1 ·
Replies
1
Views
2K
  • · Replies 2 ·
Replies
2
Views
4K
  • · Replies 1 ·
Replies
1
Views
4K
  • · Replies 4 ·
Replies
4
Views
3K
  • · Replies 5 ·
Replies
5
Views
4K
  • · Replies 2 ·
Replies
2
Views
2K