Sketching resultants using vector addition.

Click For Summary
SUMMARY

This discussion focuses on sketching resultants using vector addition, specifically the expressions u→−2v→ and 3v→−u→. Participants confirmed that the confusion arose from the interpretation of vector addition, emphasizing that the commutative property (A+B = B+A) ensures consistent results in both magnitude and direction. The diagrams created were scaled versions of vector v, with the first being twice its size and the second three times. The community provided reassurance and clarity on the correct approach to vector addition.

PREREQUISITES
  • Understanding of vector notation and operations
  • Familiarity with the commutative property of addition
  • Basic skills in sketching vectors and resultants
  • Knowledge of scaling vectors in diagrams
NEXT STEPS
  • Study vector addition and subtraction techniques in detail
  • Learn about the graphical representation of vectors
  • Explore the properties of vector operations, including commutativity and associativity
  • Practice sketching complex vector diagrams for various resultant scenarios
USEFUL FOR

Students studying physics or mathematics, educators teaching vector concepts, and anyone looking to enhance their understanding of vector addition and graphical representation.

Physics345
Messages
250
Reaction score
23

Homework Statement


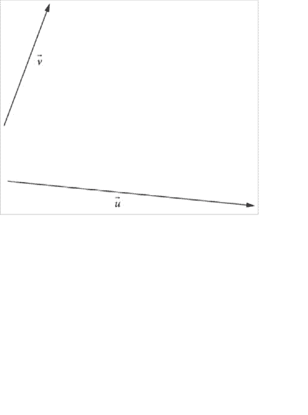
Given the following diagram, use vector addition to sketch the resultants:
a) u→−2v→
b) 3v→−u→
SoklV8E.png

Homework Equations

The Attempt at a Solution



For this question I am fairly certain that it is correct but for some reason I'm doubting myself. I was wondering if I could get some reassurance and peace of mind by getting someone's confirmation that I am correct.

UZEGOhz.png

Note: The questions picture is a lot bigger than it is in the textbook. The diagram I created for a is about 2 times the size of vector v and the diagram i created for question b is about 3 times the size of vector v.
 

Attachments

  • SoklV8E.png
    SoklV8E.png
    2 KB · Views: 1,370
  • UZEGOhz.png
    UZEGOhz.png
    5.7 KB · Views: 1,232
Physics news on Phys.org
Physics345 said:

Homework Statement


Given the following diagram, use vector addition to sketch the resultants:
a) u→−2v→
b) 3v→−u→
View attachment 222519

Homework Equations

The Attempt at a Solution



For this question I am fairly certain that it is correct but for some reason I'm doubting myself. I was wondering if I could get some reassurance and peace of mind by getting someone's confirmation that I am correct.

View attachment 222520
Note: The questions picture is a lot bigger than it is in the textbook. The diagram I created for a is about 2 times the size of vector v and the diagram i created for question is about 3 times the size of vector v.
You are right. You are having confusion because you think you have added: (-2v)+u in place of {u+(-2v)}. Just for your satisfaction you can draw the diagram for {u+(-2v)} as well but the result will be the same in magnitude and direction as vector addition is commutative A+B = B+A. Similar thing is true for the other diagram.
 
  • Like
Likes   Reactions: Physics345
Let'sthink said:
You are right. You are having confusion because you think you have added: (-2v)+u in place of {u+(-2v)}. Just for your satisfaction you can draw the diagram for {u+(-2v)} as well but the result will be the same in magnitude and direction as vector addition is commutative A+B = B+A. Similar thing is true for the other diagram.
Awesome, that is a great explanation. I love learning new techniques to confirm my solutions, it makes me more confident in my work when I can confirm whether or not it is indeed correct. Also you are spot on about the area of confusion nice job, you explained my confusion better than I.
 

Similar threads

  • · Replies 3 ·
Replies
3
Views
2K
Replies
6
Views
2K
  • · Replies 21 ·
Replies
21
Views
8K
  • · Replies 12 ·
Replies
12
Views
4K
Replies
4
Views
3K
  • · Replies 9 ·
Replies
9
Views
3K
Replies
56
Views
6K
Replies
1
Views
2K
Replies
17
Views
3K
  • · Replies 1 ·
Replies
1
Views
2K