Solve $\sin(\alpha + \beta)$: Answer #41

  • Context: MHB 
  • Thread starter Thread starter karush
  • Start date Start date
Click For Summary

Discussion Overview

The discussion revolves around solving the expression for $\sin(\alpha + \beta)$, with participants exploring different approaches and calculations. The context includes mathematical reasoning and problem-solving related to trigonometric identities and angles.

Discussion Character

  • Mathematical reasoning
  • Homework-related
  • Exploratory

Main Points Raised

  • One participant attempts to derive $\sin(\alpha + \beta)$ using the identity $\sin(\alpha + \beta) = \sin\alpha \cos \beta + \cos \alpha \sin \beta$, but expresses difficulty in matching the book's answer of $\frac{1-2\sqrt{6}}{6}$.
  • Another participant provides calculations for $\sin(\alpha)$ and $\sin(\beta)$ based on graphical interpretations, leading to the same conclusion of $\sin(\alpha + \beta) = \frac{1-2\sqrt{6}}{6}$.
  • There is a mention of an error regarding the value of $r$, with a participant noting a correction from $r=4$ to $r=2$.
  • A participant introduces a new problem involving $\sin(2\theta) = \frac{1}{3}$ and discusses the solutions for $\theta$, considering the periodicity of the sine function.
  • Questions arise about the use of $\arccos\left(\frac{1}{3}\right)$ in the context of finding angles related to $\sin(\alpha)$ and the complementary angle.

Areas of Agreement / Disagreement

Participants express differing views on the calculations and interpretations of angles, particularly regarding the use of $\arccos\left(\frac{1}{3}\right)$. There is no consensus on the correctness of the approaches or the derived values.

Contextual Notes

Some calculations depend on graphical interpretations and assumptions about angle positions, which may not be universally agreed upon. The discussion includes unresolved mathematical steps and varying interpretations of trigonometric identities.

karush
Gold Member
MHB
Messages
3,240
Reaction score
5
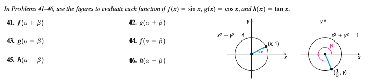
View attachment 7029

trying to do #41

\begin{align*}\displaystyle
\sin(\alpha + \beta)
&=\sin\alpha \cos \beta
+\cos \alpha \sin \beta\\
&=
\frac{1}{4}\cdot\frac{3}{1}
+\frac{\sqrt{15}}{4}\cdot \frac{\sqrt{10}}{3}
\end{align*}

ok the book answer to this was

$$f(\alpha + \beta)=\frac{1-2\sqrt{6}}{6}$$

but I couldn't derive this
 

Attachments

  • 8.3.41.PNG
    8.3.41.PNG
    6.3 KB · Views: 159
Mathematics news on Phys.org
From the graph on the left, we have:

$$2\sin(\alpha)=1\implies \sin(\alpha)=\frac{1}{2}$$-

Hence:

$$\cos(\alpha)=\sqrt{1-\left(\frac{1}{2}\right)^2}=\frac{\sqrt{3}}{2}$$

And from the graph on the right:

$$\cos(\beta)=\frac{1}{3}$$

Hence (observing the terminal side of the angle is in the 4th quadrant):

$$\sin(\beta)=-\sqrt{1-\left(\frac{1}{3}\right)^2}=-\frac{2\sqrt{2}}{3}$$

And so we find:

$$f(\alpha+\beta)=\sin(\alpha+\beta)=\sin(\alpha)\cos(\beta)+\cos(\alpha)\sin(\beta)=\frac{1}{2}\cdot\frac{1}{3}-\frac{\sqrt{3}}{2}\cdot\frac{2\sqrt{2}}{3}=\frac{1-2\sqrt{6}}{6}$$
 
ok I had r=4 not r=2

(Headbang)ok if I can sneak another one in here

$$\displaystyle\sin\left({2\theta}\right)= \frac{1}{3}$$
$$3\sin\left({2\theta}\right) = 1$$

then ?
 
karush said:
ok I had r=4 not r=2

(Headbang)ok if I can sneak another one in here

$$\displaystyle\sin\left({2\theta}\right)= \frac{1}{3}$$
$$3\sin\left({2\theta}\right) = 1$$

then ?

I'm assuming you are to solve for $\theta$...in which case I would observe that there are solutions in quadrant I and quadrant II, and they are symmetrical about $$\alpha=\frac{\pi}{2}$$, and we must keep the periodicity of the sine function in mind, hence:

$$2\theta=\left(\frac{\pi}{2}\pm\arccos\left(\frac{1}{3}\right)\right)+2k\pi$$ where $k\in\mathbb{Z}$

And so we have:

$$\theta=\frac{1}{2}\left(\frac{\pi}{2}\pm\arccos\left(\frac{1}{3}\right)\right)+k\pi=\frac{\pi}{4}(4k+1)\pm\frac{1}{2}\arccos\left(\frac{1}{3}\right)$$
 
why $\arccos\left(\frac{1}{3}\right)$ ?
 
karush said:
why $\arccos\left(\frac{1}{3}\right)$ ?

If we have:

$$\sin(\alpha)=\frac{1}{3}$$

But, we want the angle between the terminal side of $\alpha$ and $$\frac{\pi}{2}$$...that is we want the complementary angle to $\alpha$. :)
 

Similar threads

  • · Replies 2 ·
Replies
2
Views
2K
  • · Replies 2 ·
Replies
2
Views
7K
  • · Replies 1 ·
Replies
1
Views
3K
  • · Replies 7 ·
Replies
7
Views
1K
  • · Replies 5 ·
Replies
5
Views
2K
  • · Replies 1 ·
Replies
1
Views
2K
  • · Replies 1 ·
Replies
1
Views
2K
  • · Replies 4 ·
Replies
4
Views
2K
  • · Replies 10 ·
Replies
10
Views
3K
  • · Replies 30 ·
2
Replies
30
Views
2K