Solving Force Due to Gravity Homework Problem

  • Thread starter Thread starter jimbo71
  • Start date Start date
  • Tags Tags
    Force Gravity
Click For Summary
SUMMARY

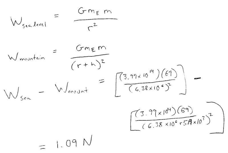
This discussion focuses on solving a physics homework problem related to calculating the force due to gravity. The key equations and attempts at solutions are referenced in attachments labeled "problem 16." Participants confirm that the working and solution presented are correct, emphasizing the importance of accurately applying gravitational formulas in problem-solving.

PREREQUISITES
  • Understanding of Newton's Law of Universal Gravitation
  • Familiarity with gravitational force equations
  • Basic algebra skills for solving equations
  • Ability to interpret and analyze physics problem statements
NEXT STEPS
  • Review Newton's Law of Universal Gravitation
  • Practice solving problems involving gravitational force calculations
  • Explore the concept of gravitational potential energy
  • Learn about the role of mass and distance in gravitational interactions
USEFUL FOR

Students studying physics, educators teaching gravitational concepts, and anyone seeking to enhance their problem-solving skills in mechanics.

jimbo71
Messages
80
Reaction score
0

Homework Statement


see problem 16 attachment


Homework Equations


see problem 16 attempt attachment


The Attempt at a Solution


see problem 16 attempt attachment
 

Attachments

  • 21065-85055-problem 16.jpg
    21065-85055-problem 16.jpg
    24 KB · Views: 530
  • 21065-85055-problem 16 attempt.jpg
    21065-85055-problem 16 attempt.jpg
    20 KB · Views: 443
Physics news on Phys.org
Your working and solution should be correct.
 

Similar threads

  • · Replies 8 ·
Replies
8
Views
1K
  • · Replies 12 ·
Replies
12
Views
1K
Replies
12
Views
1K
  • · Replies 1 ·
Replies
1
Views
1K
  • · Replies 7 ·
Replies
7
Views
3K
  • · Replies 13 ·
Replies
13
Views
2K
  • · Replies 22 ·
Replies
22
Views
2K
  • · Replies 6 ·
Replies
6
Views
1K
  • · Replies 14 ·
Replies
14
Views
3K
Replies
13
Views
2K