Solving System of DEs: T, u, phi w/ Constants & r

  • Context: Graduate 
  • Thread starter Thread starter msenousy
  • Start date Start date
  • Tags Tags
    System
Click For Summary
SUMMARY

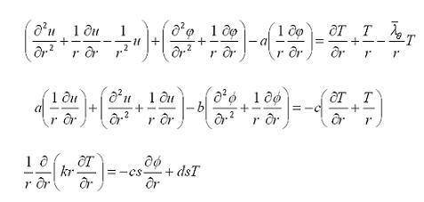
This discussion focuses on solving a system of differential equations (DEs) involving the dependent variables T, u, and phi, with r as the independent variable. The user, MoMo, seeks assistance in determining whether a closed-form solution exists for these equations. The mention of "separation of variables" suggests a potential method for solving the DEs, although no specific equations were provided in the discussion.

PREREQUISITES
  • Understanding of differential equations and their classifications
  • Familiarity with the method of separation of variables
  • Knowledge of dependent and independent variables in mathematical modeling
  • Basic skills in interpreting mathematical notation and equations
NEXT STEPS
  • Research the method of separation of variables in solving differential equations
  • Explore techniques for finding closed-form solutions for systems of DEs
  • Study specific examples of solving systems of DEs with multiple dependent variables
  • Investigate numerical methods for approximating solutions when closed forms are unavailable
USEFUL FOR

Mathematicians, engineering students, and researchers working on systems of differential equations, particularly those interested in analytical and numerical solution techniques.

msenousy
Messages
1
Reaction score
0
Hello dear all;
I have been trying to solve a system of DE for a long time; however, I find it difficult to solve it.
I am wondering if anyone can help me in solving them ir at least telling me whether they have a closed form solution or not.

the equations are attached to this mail in a jpg format

The dependent variables are, "T", "u", and "phi"
the dependent variable is "r"
other than that everything is constant

Thanks;
MoMo
 

Attachments

  • DE.JPG
    DE.JPG
    12.5 KB · Views: 490
Physics news on Phys.org
Separation of variables?
 

Similar threads

  • · Replies 0 ·
Replies
0
Views
3K
  • · Replies 1 ·
Replies
1
Views
2K
  • · Replies 10 ·
Replies
10
Views
2K
  • · Replies 2 ·
Replies
2
Views
3K
  • · Replies 3 ·
Replies
3
Views
3K
  • · Replies 5 ·
Replies
5
Views
3K
  • · Replies 1 ·
Replies
1
Views
2K
  • · Replies 12 ·
Replies
12
Views
3K
  • · Replies 2 ·
Replies
2
Views
3K
  • · Replies 5 ·
Replies
5
Views
2K