Solving the Equation: Two Answers?

  • Context: MHB 
  • Thread starter Thread starter siyanor
  • Start date Start date
Click For Summary
SUMMARY

The discussion centers on solving the equation \( 7.3^{2x + 1} = 10 \) using two methods. The first method is deemed incorrect due to the omission of \( \ln(7.3) \). The second method, which involves taking the logarithm base 10 of both sides, leads to the correct formulation \( x = \frac{1}{2}\left(\frac{\ln(10)}{\ln(7.3)}-1\right) \approx 0.0792 \). The rounded answer from this method is noted as inaccurate, indicating the need for precise calculations.

PREREQUISITES
  • Understanding of logarithmic functions, specifically logarithm properties.
  • Familiarity with solving exponential equations.
  • Knowledge of natural logarithm and common logarithm.
  • Basic algebra skills for manipulating equations.
NEXT STEPS
  • Study the properties of logarithms, including change of base formula.
  • Learn how to solve exponential equations systematically.
  • Explore numerical methods for improving accuracy in rounded answers.
  • Practice with additional examples of logarithmic equations.
USEFUL FOR

Students in mathematics, educators teaching algebra, and anyone interested in mastering logarithmic equations and their applications.

siyanor
Messages
8
Reaction score
0
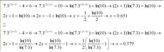
I have an equation which answered it in two ways,which one is correct ?View attachment 163
 

Attachments

  • Problem1.GIF
    Problem1.GIF
    5.9 KB · Views: 104
Mathematics news on Phys.org
siyanor said:
I have an equation which answered it in two ways,which one is correct ?
https://www.physicsforums.com/attachments/163

The first method is not correct because ln(7.3) has simply disappeared.

The second method is correct but the rounded answer is not correct. $ x = \frac{1}{2}\left(\frac{\ln(10)}{\ln(7.3)}-1\right) \approx 0.0792 $
 
siyanor said:
I have an equation which answered it in two ways,which one is correct ?https://www.physicsforums.com/attachments/163

[tex]7.3^{2x + 1} \ = \ 10[/tex]

siyanor,

(regarding the correct process of method #2),
because you have 10 on one side at that point,
that lends itself to taking log (base 10) of each
side:

[tex]\log_{10}7.3^{2x + 1} \ =[/tex][tex]\log_{10}10[/tex][tex](2x + 1)\log(7.3) \ = \ 1[/tex][tex]2x + 1 \ = \ \dfrac{1}{log(7.3)}[/tex]And continue . . .
 

Similar threads

  • · Replies 4 ·
Replies
4
Views
2K
  • · Replies 1 ·
Replies
1
Views
1K
  • · Replies 1 ·
Replies
1
Views
2K
  • · Replies 17 ·
Replies
17
Views
3K
  • · Replies 22 ·
Replies
22
Views
3K
  • · Replies 2 ·
Replies
2
Views
2K
  • · Replies 42 ·
2
Replies
42
Views
5K
  • · Replies 2 ·
Replies
2
Views
2K
  • · Replies 2 ·
Replies
2
Views
2K
  • · Replies 14 ·
Replies
14
Views
3K