Stuck on one of the substitution method steps

Click For Summary

Discussion Overview

The discussion revolves around the substitution method in solving a differential equation, specifically focusing on the transformation into separable form and the subsequent steps required for simplification. Participants explore the implications of their substitutions and the resulting expressions, seeking clarity on the separation of variables.

Discussion Character

  • Technical explanation
  • Mathematical reasoning
  • Debate/contested

Main Points Raised

  • One participant describes their process of putting the equation in standard form and performing a homogeneous test, but expresses confusion about the substitution and simplification steps.
  • Another participant suggests that the substitution has transformed the equation into separable form and provides a complex expression involving functions of u and x.
  • A participant questions the origin of a specific denominator and requests clarification on the definitions of the functions involved.
  • Clarifications are provided regarding the definitions of the functions f(u), g(x), p(u), and q(x) in the context of the separation of variables.
  • Further elaboration on the separation of variables is offered, including the rationale for dividing by non-matching functions to achieve the desired form.
  • One participant expresses confusion about a specific equation and its derivation, indicating difficulty in fully separating the variables.
  • A later reply reiterates the separation of variables approach and provides additional steps to clarify the transformation of the equation.
  • Finally, one participant indicates that they have resolved their confusion after the explanations provided.

Areas of Agreement / Disagreement

Participants exhibit a mix of agreement and confusion regarding the steps involved in the substitution method and separation of variables. While some participants provide clarifications and explanations, others express uncertainty about specific transformations and the derivation of certain expressions. The discussion does not reach a consensus on the clarity of the steps involved.

Contextual Notes

Some participants express uncertainty about the definitions and roles of the functions involved in the substitution, as well as the steps required to achieve complete separation of variables. There are unresolved questions about the derivation of certain expressions and the clarity of the process.

Jeff12341234
Messages
179
Reaction score
0
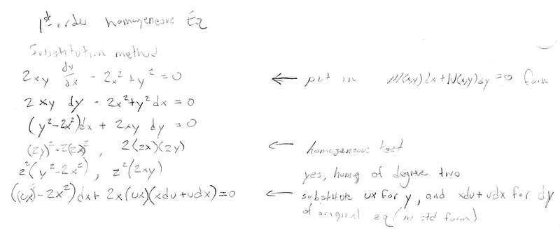
I put it in std form, did the homogeneous test. it passed with degree 2. I substituted y=ux and dy=udx+xdu and now I'm stuck. it needs to be simplified somehow but I don't know if ux is one var or if it's u*x. Same goes for udx and xdu. Is it really u*dx+x*du? even assuming that is correct, it doesn't get any simpler. What does the next step look like for this problem?

52ck6vx.jpg
 
Physics news on Phys.org
That is good so far, the substitution has transformed the equation into separable form, divide to complete separation.

$$\frac{\mathrm{f}(u)\mathrm{g}(x) \mathrm{dx}+\mathrm{p}(u) \mathrm{q}(x)\mathrm{du}}{\mathrm{f}(u) \mathrm{q}(x)}=\frac{\mathrm{g}(x)}{\mathrm{q}(x)}\mathrm{dx}+\frac{\mathrm{p}(u) }{\mathrm{f}(u)}\mathrm{du}$$$$\frac{((ux)^2-2x^2)\mathrm{dx}+2x(ux)(x \mathrm{du}+u\mathrm{dx})}{x^3(3u^2-2)}=\frac{\mathrm{dx}}{x}+\frac{2u\mathrm{du}}{3u^2-2}=0$$
 
Where did you get the denominator x3(3u2-2) from?

What does f(u), g(x), p(u), and q(x) each equal?
 
In this example
[tex]\mathrm{f}(u)=3u^2-2 \\<br /> \mathrm{g}(x)=x^2 \\<br /> \mathrm{p}(u)=2u \\<br /> \mathrm{q}(x)=x^3[/tex]

This is just separation of variables
$$((ux)^2-2x^2)\mathrm{dx}+2x(ux)(x \mathrm{du}+u\mathrm{dx})=(3u^2-2)(x^2)\mathrm{dx}+(2u)(x^3)\mathrm{du}$$
So we divide by the the factors that do not match their differentials.
 
$$\frac{\mathrm{f}(u)\mathrm{g}(x) \mathrm{dx}+\mathrm{p}(u) \mathrm{q}(x)\mathrm{du}}{\mathrm{f}(u) \mathrm{q}(x)}=\frac{\mathrm{g}(x)}{\mathrm{q}(x)}\mathrm{dx}+\frac{\mathrm{p}(u) }{\mathrm{f}(u)}\mathrm{du}$$

Is the above eq some sort of shortcut that is explained somewhere. I've never seen it in all of the lessons I've read.

I understand how I got to here:
$$((ux)^2-2x^2)\mathrm{dx}+2x(ux)(x \mathrm{du}+u\mathrm{dx})$$

and how you got from here:
$$(3u^2-2)(x^2)\mathrm{dx}+(2u)(x^3)\mathrm{du}$$ to the next part but not the step(s) in between. I tried working it out several times but could never separate the variables completely.
 
Last edited:
$$\frac{\mathrm{f}(u)\mathrm{g}(x) \mathrm{dx}+\mathrm{p}(u) \mathrm{q}(x)\mathrm{du}}{\mathrm{f}(u) \mathrm{q}(x)}=\frac{\mathrm{g}(x)}{\mathrm{q}(x)}\mathrm{dx}+\frac{\mathrm{p}(u) }{\mathrm{f}(u)}\mathrm{du}$$
That is just the separation of variables equation.
Write the equation in the form of each differential multiplied by a function of each variable, divide by each non-matching function to give each differential multiplied by a matching function.


[tex]((ux)^2-2x^2) \, \mathrm{dx}+2x(ux)(x \, \mathrm{du}+u \, \mathrm{dx})=<br /> x^2(u^2 -2) \, \mathrm{dx}+2x^2 u(x \, \mathrm{du}+u \, \mathrm{dx})\\<br /> =x^2(u^2 -2) \, \mathrm{dx}+(2x^2 u)x \, \mathrm{du}+(2x^2 u)u \,\mathrm{dx}\\<br /> =x^2(u^2 -2+2u^2) \, \mathrm{dx}+2x^3 u \, \mathrm{du} \\<br /> =(3u^2-2)(x^2) \, \mathrm{dx}+(2u)(x^3) \, \mathrm{du}[/tex]
 
thanks. I got it now.
 

Similar threads

  • · Replies 4 ·
Replies
4
Views
2K
  • · Replies 3 ·
Replies
3
Views
2K
  • · Replies 27 ·
Replies
27
Views
4K
  • · Replies 9 ·
Replies
9
Views
3K
  • · Replies 4 ·
Replies
4
Views
3K
  • · Replies 1 ·
Replies
1
Views
2K
  • · Replies 5 ·
Replies
5
Views
3K
  • · Replies 6 ·
Replies
6
Views
3K
  • · Replies 3 ·
Replies
3
Views
2K
  • · Replies 5 ·
Replies
5
Views
2K