Tension in rope wrapped around a rod

Click For Summary

Homework Help Overview

The problem involves two unequal masses suspended by a rope over a fixed rod, with considerations of static and kinetic friction. The scenario explores the tension in the rope and the conditions under which the rope begins to slide.

Discussion Character

  • Exploratory, Conceptual clarification, Problem interpretation

Approaches and Questions Raised

  • The original poster expresses difficulty in finding a solution and seeks validation of their understanding. Participants discuss the relationships between tensions in the rope and the conditions for sliding, referencing relevant equations from their course materials.

Discussion Status

The discussion is ongoing, with participants sharing insights about the problem setup and relevant equations. Some guidance has been provided regarding the relationships between tensions and friction coefficients, but no consensus or resolution has been reached.

Contextual Notes

The problem includes specific constraints such as the coefficients of friction and the assumption that the mass of the rope is negligible. The angle subtended by the rope in contact with the rod is also specified.

ThEmptyTree
Messages
55
Reaction score
15
Homework Statement
Two unequal blocks of masses ##m_1## and ##m_2##, ##m_1 > m_2##, are suspended by a rope over a fixed rod. The axis of the rod is perpendicular to the figure (only its cross section is
shown). The coefficient of static friction between the rope and the rod is ##\mu_s##, and the
coefficient of sliding friction is ##\mu_k##, ##\mu_k < \mu_s##. The mass of the rope can be ignored.
(a) Let ##T_1## be the magnitude of the force of tension exerted by the rope on block 1.
Is ##T_A## greater, less than, or equal to ##T_1##?
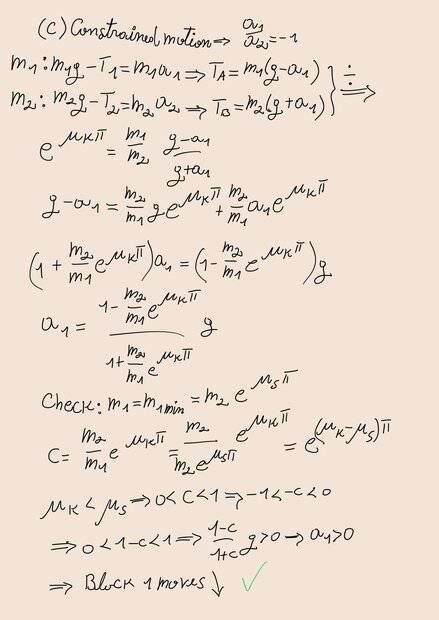
(b) What is the value of m1 for which the rope starts sliding? Express your answer
in terms of ##\mu_s## and ##m_2##.
(c) Now assume that ##m_1## is large enough so that the rope starts to slip and the masses
start to move. What is ##a##, the magnitude of the acceleration of the masses after
sliding has begun?
Express your answer in terms of some or all of the following: ##\mu_k, m_1, m_2## and ##g##.
Relevant Equations
For this problem , you can use the result from Chapter 8, Example 8.11 in the course
textbook, titled ”The Capstan”, where it is shown that when the rope is about to slide
the tension at point ##B## in the rope, ##T_B##, is related to the tension at point ##A## in the rope,
##T_A##, by:
$$T_B = T_Ae^{-\mu_s\theta}$$
where ##\theta## is the angle subtended by the portion of the rope in contact with the rod. In
this problem, the angle ##\theta## is ##\theta = \pi##. (Note: points ##A## and ##B## are the points where the rope loses contact with the surface of the rod and we assume the cross section of the
rod to be a perfect circle).

Just when the masses start moving, the relationship between ##T_A## and ##T_B##
becomes
$$T_B = T_Ae^{-\mu_k\theta}$$
, where ##\mu_s## is replaced by ##\mu_k##. You can show this by following similar logic used in solving example 8.11 in the textbook.
capstan.png


MIT OCW 801_210826_214423_102.jpg
MIT OCW 801_210826_214423_103.jpg
 
Last edited:
  • Like
Likes   Reactions: haruspex
Physics news on Phys.org
This is the first problem where I couldn't find a solution on the internet whatsoever. Am I doing gud?
 
ThEmptyTree said:
Homework Statement:: Two unequal blocks of masses ##m_1## and ##m_2##, ##m_1 > m_2##, are suspended by a rope over a fixed rod. The axis of the rod is perpendicular to the figure (only its cross section is
shown). The coefficient of static friction between the rope and the rod is ##\mu_s##, and the
coefficient of sliding friction is ##\mu_k##, ##\mu_k < \mu_s##. The mass of the rope can be ignored.
(a) Let ##T_1## be the magnitude of the force of tension exerted by the rope on block 1.
Is ##T_A## greater, less than, or equal to ##T_1##?
(b) What is the value of m1 for which the rope starts sliding? Express your answer
in terms of ##\mu_s## and ##m_2##.
(c) Now assume that ##m_1## is large enough so that the rope starts to slip and the masses
start to move. What is ##a##, the magnitude of the acceleration of the masses after
sliding has begun?
Express your answer in terms of some or all of the following: ##\mu_k, m_1, m_2## and ##g##.
Relevant Equations:: For this problem , you can use the result from Chapter 8, Example 8.11 in the course
textbook, titled ”The Capstan”, where it is shown that when the rope is about to slide
the tension at point #B# in the rope, ##T_B##, is related to the tension at point #A# in the rope,
##T_A##, by:
$$T_B = T_Ae^{-\mu_s\theta}$$
where ##\theta## is the angle subtended by the portion of the rope in contact with the rod. In
this problem, the angle ##\theta## is ##\theta = \pi##. (Note: points ##A## and ##B## are the points where the rope loses contact with the surface of the rod and we assume the cross section of the
rod to be a perfect circle).

Just when the masses start moving, the relationship between ##T_A## and ##T_B##
becomes
$$T_B = T_Ae^{-\mu_k\theta}$$
, where ##\mu_s## is replaced by ##\mu_k##. You can show this by following similar logic used in solving example 8.11 in the textbook.

View attachment 288149

View attachment 288160View attachment 288161
Very good.
 
haruspex said:
Very good.
Thanks. !
 

Similar threads

  • · Replies 9 ·
Replies
9
Views
2K
  • · Replies 11 ·
Replies
11
Views
2K
Replies
19
Views
2K
  • · Replies 66 ·
3
Replies
66
Views
7K
  • · Replies 38 ·
2
Replies
38
Views
6K
  • · Replies 24 ·
Replies
24
Views
2K
  • · Replies 5 ·
Replies
5
Views
1K
Replies
4
Views
1K
Replies
21
Views
3K
  • · Replies 10 ·
Replies
10
Views
2K