Understanding Wormhole Solutions to the Einstein Field Equations

Click For Summary

Discussion Overview

The discussion revolves around understanding wormhole solutions to the Einstein Field Equations (EFE), particularly focusing on the interpretation of a paper by Michael Morris and Kip Thorne. Participants are exploring the theoretical aspects of wormholes, the mathematical framework involved, and the necessary assumptions for deriving solutions.

Discussion Character

  • Exploratory
  • Technical explanation
  • Conceptual clarification
  • Debate/contested
  • Mathematical reasoning

Main Points Raised

  • One participant seeks clarification on the final solution of a wormhole as presented in the referenced paper, indicating a lack of experience in general relativity (GR).
  • Another participant suggests that the original poster is looking for undergraduate-level explanations rather than graduate-level insights.
  • A participant questions the interpretation of the spacetime metric as an axiom in the proof, suggesting that it is indeed a correct interpretation.
  • There is a query about the use of partial derivatives in the context of the metric tensor, with some participants discussing the notation and its implications.
  • Participants clarify the definitions of the Riemann, Ricci, and Einstein tensors, with some confusion about their roles in the EFE.
  • One participant notes that the Riemann tensor does not appear in the EFE but is foundational to the Ricci tensor and Ricci scalar.
  • Another participant emphasizes the need for a deeper understanding of tensor notation, recommending additional resources for clarification.

Areas of Agreement / Disagreement

There is no consensus on the interpretation of certain mathematical aspects, particularly regarding the notation and the roles of the tensors in the EFE. Participants express differing levels of understanding and familiarity with the material, leading to ongoing questions and clarifications.

Contextual Notes

Participants acknowledge the complexity of the paper and the assumptions made in deriving wormhole solutions. There is an indication that the paper is written for readers with a graduate-level background, which may contribute to the confusion among undergraduate participants.

1v1Dota2RightMeow
Messages
75
Reaction score
7
I have to do a project on wormholes as solutions to the EFE, but I'm only and undergrad and have not yet taken any GR classes. I found a paper by Michael Morris and Kip Thorne with a derivation of a simple wormhole (many assumptions), but because of my lack of experience I can't tell what the final answer is. Could someone explain to me what the end solution will look like for this? I'm still in a basic understanding of physics (highest I've taken is Intro to QM, Classical Mech, and Intro to EM).

Here is the paper: http://www.cmp.caltech.edu/refael/league/thorne-morris.pdf
 
Physics news on Phys.org
1v1Dota2RightMeow said:
'm still in a basic understanding of physics (highest I've taken is Intro to QM, Classical Mech, and Intro to EM).
Which suggests that you want I-level (undergrad) answers rather than A-level (graduate level)? I've adjusted the thread level accordingly.
 
Nugatory said:
Which suggests that you want I-level (undergrad) answers rather than A-level (graduate level)? I've adjusted the thread level accordingly.
Well, I need help understanding the material in order to produce a 3rd year undergrad level presentation on wormholes as a solution to the EFE. Call it what you like :)
 
1v1Dota2RightMeow said:
Well, I need help understanding the material in order to produce a 3rd year undergrad level presentation on wormholes as a solution to the EFE. Call it what you like :)
Which parts exactly do you need help with? If you can tell us where you're getting stuck, we may be able to help you over the hard spot. You say that you haven't taken a class on GR yet, but how much do you know about the stuff?
 
Nugatory said:
Which parts exactly do you need help with? If you can tell us where you're getting stuck, we may be able to help you over the hard spot.

I guess I'll just post questions as they come up. I'm reading the above linked paper by Thorne and compiling the presentation at the same time.

My first question: I interpret his given spacetime metric (metric tensor) as an axiom of his proof. This is because he listed about 7 or so assumptions that he used to constrain the wormhole (he took the opposite way around and first described the wormhole and then is going to solve for the matter necessary to create said wormhole). Is this the correct interpretation? Any help that anyone can give is appreciated exponentially with no upper bound :)
 
Another question: how does the partial derivative work here?

upload_2016-12-1_22-21-11.png


I would have interpreted this as saying ##g_{\alpha \beta , \gamma} = \frac{\partial g_{\alpha \beta}}{\partial \gamma}## but clearly this is not what the author wrote. What am I missing here?
 
1v1Dota2RightMeow said:
I interpret his given spacetime metric (metric tensor) as an axiom of his proof.

Yes, that's correct. What he is doing is assuming a metric tensor that embodies the requirements he wants, computing the Einstein tensor of this metric tensor (which is just a series of mathematical operations, no assumptions required), and plugging that into the Einstein Field Equation to see what it implies for the stress-energy tensor, i..e, what kind of "stuff" would be required to produce such a wormhole.
 
  • Like
Likes   Reactions: 1v1Dota2RightMeow
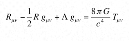
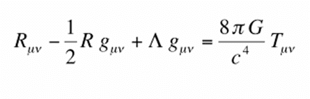
The author talks about needing to derive the Riemann, Ricci, and Einstein tensors. In the EFE, I know that the Ricci tensor is the ##R_{\mu \nu}## term, but which ones are the Riemann and Einstein tensors? I'd guess that ##R## is the Riemann tensor, but then I'd be at a loss as to which is the Einstein tensor.

For reference:
upload_2016-12-2_0-26-20.png
 

Attachments

  • upload_2016-12-2_0-25-42.png
    upload_2016-12-2_0-25-42.png
    6.9 KB · Views: 583
1v1Dota2RightMeow said:
In the EFE, I know that the Ricci tensor is the RμνR_{\mu \nu} term, but which ones are the Riemann and Einstein tensors?

The Einstein tensor is the first two terms on the LHS of the EFE, i.e., ##R_{\mu \nu} - \frac{1}{2} g_{\mu \nu} R##. The ##R## is the Ricci scalar, i.e., ##R^\mu{}_\mu##. The Riemann tensor doesn't appear in the EFE.
 
  • #10
PeterDonis said:
The Einstein tensor is the first two terms on the LHS of the EFE, i.e., ##R_{\mu \nu} - \frac{1}{2} g_{\mu \nu} R##. The ##R## is the Ricci scalar, i.e., ##R^\mu{}_\mu##. The Riemann tensor doesn't appear in the EFE.
Oh interesting! That's weird then because the author specifically mentions all 3 of them in one sentence. Seems kind of awkward.

upload_2016-12-2_1-24-39.png
 
  • #11
The Riemann tensor is a four-index tensor that describes the curvature of spacetime. It doesn't explicitly appear in the Einstein field equations, but the Ricci tensor (##R_{\mu\nu}##) and Ricci scalar (##R##) are both derived from it.
 
  • #12
1v1Dota2RightMeow said:
I would have interpreted this as saying ##g_{\alpha \beta , \gamma} = \frac{\partial g_{\alpha \beta}}{\partial \gamma}## but clearly this is not what the author wrote. What am I missing here?

It is what the author wrote. What you have written doesn't make sense.
 
  • #13
1v1Dota2RightMeow said:
I would have interpreted this as saying ##g_{\alpha \beta , \gamma} = \frac{\partial g_{\alpha \beta}}{\partial \gamma}## but clearly this is not what the author wrote. What am I missing here?
##g_{\alpha\beta}## is a function of ##x_0##, ##x_1##, ##x_2##, and ##x_3##. The notation ##_{,\lambda}## means partial differentiation with respect to ##x_\lambda##, just as the author says.

I strongly recommend that you take a few hours to read through Carroll's whirlwind tour of tensor notation: https://preposterousuniverse.com/wp-content/uploads/2015/08/grtinypdf.pdf

[Edit: when I first posted this, it was on a browser that didn't render Latex properly, so some errors in the Latex slipped by. I've fixed them now]
 
Last edited:
  • #14
1v1Dota2RightMeow said:
That's weird then because the author specifically mentions all 3 of them in one sentence.

Yes, but he doesn't say they all appear in the Einstein Field Equation. Nor does he say the Riemann tensor doesn't, but that's because he assumes the reader already knows that it doesn't. Bear in mind that the paper in question is written for relativity experts, so there is a lot of background that the reader is assumed to have--more like A-level background (graduate) than I-level (undergraduate).
 
  • Like
Likes   Reactions: 1v1Dota2RightMeow

Similar threads

  • · Replies 7 ·
Replies
7
Views
2K
  • · Replies 31 ·
2
Replies
31
Views
2K
  • · Replies 186 ·
7
Replies
186
Views
13K
  • · Replies 20 ·
Replies
20
Views
3K
  • · Replies 18 ·
Replies
18
Views
5K
  • · Replies 7 ·
Replies
7
Views
2K
  • · Replies 1 ·
Replies
1
Views
2K
  • · Replies 19 ·
Replies
19
Views
3K