Uniform Density Stars: Struggling with Understanding

Click For Summary
SUMMARY

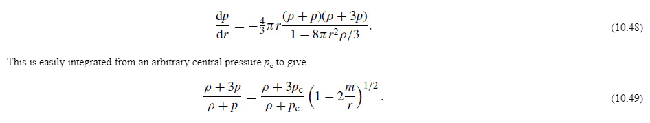
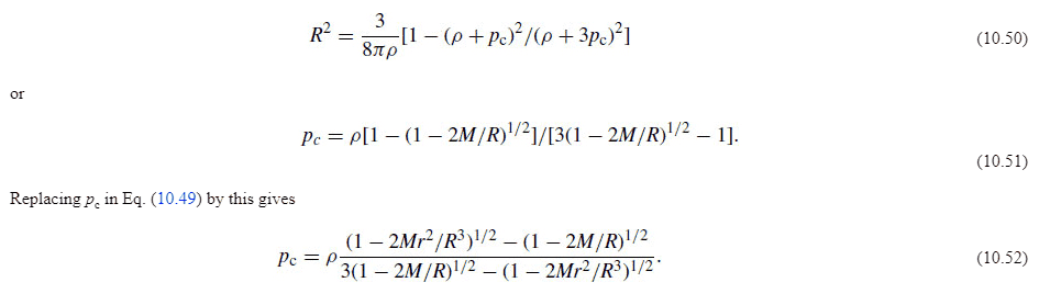
The discussion centers around the challenges of understanding uniform density stars, particularly in relation to calculus and integration of equation 10.48. Participants emphasize the necessity of a solid grasp of calculus to tackle the complexities presented in the chapter. The conversation highlights that without foundational knowledge in calculus, comprehending the material will be significantly difficult.

PREREQUISITES
  • Understanding of calculus, specifically integration techniques.
  • Familiarity with astrophysical concepts related to uniform density stars.
  • Knowledge of mathematical equations relevant to stellar physics.
  • Ability to interpret and analyze complex scientific texts.
NEXT STEPS
  • Study integration techniques in calculus, focusing on applications in physics.
  • Research the properties of uniform density stars and their significance in astrophysics.
  • Review equation 10.48 and its derivation to understand its application.
  • Explore additional resources on mathematical modeling in astrophysics.
USEFUL FOR

Students of astrophysics, educators teaching calculus in a scientific context, and anyone seeking to deepen their understanding of stellar structures and the mathematics involved.

Cythermax
Messages
2
Reaction score
0
New poster has been reminded to show their work on schoolwork problems
Homework Statement
Completely stuck on this. Posted it below.
Relevant Equations
Attached the equations
I don't know where to start. This chapter is incredibly confusing for me.
 

Attachments

  • 1010.PNG
    1010.PNG
    9.1 KB · Views: 240
  • 4849.PNG
    4849.PNG
    12.7 KB · Views: 224
  • 5052.PNG
    5052.PNG
    22.1 KB · Views: 228
  • 54.PNG
    54.PNG
    7.1 KB · Views: 243
Physics news on Phys.org
Take it one step at a time. Can you do part (a)? When you say you "don't know where to start", does that mean you don't know enough calculus to integrate equation 10.48? If so, you're probably in trouble.
 

Similar threads

Replies
3
Views
3K
  • · Replies 1 ·
Replies
1
Views
2K
  • · Replies 1 ·
Replies
1
Views
2K
  • · Replies 7 ·
Replies
7
Views
3K
  • · Replies 1 ·
Replies
1
Views
3K
  • · Replies 1 ·
Replies
1
Views
2K
Replies
2
Views
5K
Replies
4
Views
5K
  • · Replies 5 ·
Replies
5
Views
3K
Replies
2
Views
2K