Variation Method: Finding Ground State Energy of 1D Harmonic Oscillator

Click For Summary

Homework Help Overview

The discussion revolves around using the variation method to approximate the ground state energy of a one-dimensional harmonic oscillator, described by the Hamiltonian operator. Participants are examining the calculation of the expectation value of energy using a trial wave function and integrating over the appropriate limits.

Discussion Character

  • Exploratory, Mathematical reasoning, Assumption checking

Approaches and Questions Raised

  • Participants discuss the normalization of the trial wave function and the calculation of the expectation value of energy. There are attempts to break down the integral into parts and evaluate Gaussian integrals. Questions arise regarding the correctness of intermediate steps and the handling of the exponential term in the integrals.

Discussion Status

The discussion is ongoing, with participants providing feedback on each other's calculations and suggesting the need for clarity in the steps taken. There is a recognition of potential errors in the integral evaluations, and participants are encouraged to share their methods and results for further examination.

Contextual Notes

Participants are working under the constraints of homework guidelines, which may limit the extent of assistance provided. There is an emphasis on showing intermediate steps and ensuring clarity in the mathematical process.

Firben
Messages
141
Reaction score
0

Homework Statement


Use the variation method to find a approximately value on the ground state energy at the one dimensional harmonic oscillator, H = -ħ^2/(2m) * d^2/dx^2 + 1/2mω^2*x^2

Homework Equations


H = -ħ^2/(2m) * d^2/dx^2 + 1/2mω^2*x^2
u(x) = Nexp(-ax^2)
<H> = <u|Hu>

The Attempt at a Solution


[/B]
Normilized N is N = (2a/π)^(1/4)

If i start to calculate Hu = N(-ħ^2/(2m)(4a^2*x^2 - 2a) + 1/2*m*ω^2*x^2)exp(-ax^2)

Then

<H> = ∫u*Hu dx = (2a/π)^(1/2)∫[0 to inf](-ħ^2/(2m)(4a^2*x^2 - 2a) + 1/2*m*ω^2*x^2)exp(-ax^2) dx
if i divide the integral into 3 different integrals i got the integral to be equal to -3ħ^2*a/(4m) + mω/(16*√a)) which is incorrect. It should be equal to ħ^2/(2m)*a + 1/8*m*ω^2*1/a why ?
 
Physics news on Phys.org
Is this the integral you mean?
[tex]\sqrt{\frac{2a}{\pi}}\int_0^\infty dx\left(\frac{-\hbar^2}{2m} (4a^2x^2-2a) + \frac{m\omega^2}{2}x^2\right) \exp{(-ax^2)}[/tex]

The first thing I notice here is that you have forgotten the exponential from the complex conjugated wavefunction in your initial integral.
Secondly you need to show intermediate steps, we cannot see what has gone wrong. (not instantly at least)

In your next post you should mention what those 3 integrals you mentioned are. And how you solved them.
Solving should be quite straightforward as we are dealing with Gaussian integrals (we like those in physics).

A final piece of advise, try to use TeX to typeset your equations, its much more readable and accessible to potential helpers.
It's also useful for writing reports and papers if you need a lot of equations or diagrams.

Joris
 
I forgotted the complex term, but i used it when i calculated the integral through. See my steps in whiteboard bellow:
https://www.physicsforums.com/attachments/85230
Here is the initial integral, <H>

Snapshot2.jpg

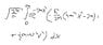
Here is I am dividing the integral into 3 different parts (1), (2) & (3). When i have calculated the 3 different gaussian integrals and have add them together again, i got the following result:
Snapshot3.jpg
 

Attachments

  • Snapshot1.jpg
    Snapshot1.jpg
    9.2 KB · Views: 470
So how did you calculate those separate integrals?

Explicitly, do you know the solutions of following integrals
[tex]\int_0^\infty x^2 e^{-\alpha x^2} dx[/tex]
[tex]\int_0^\infty e^{-\alpha x^2} dx[/tex]

What might help you here is introducing constants A, B and C for each factor in front of the integrals.
Afterwards you can simplify.

So now give me the values for those integrals as well as an expression for the result.

Edit:

I did a quick check of your result.
My result has an extra factor of 1/2 in each term. Are you positive the answer you gave in post #1 is correct?
It is possible I'm mistaken though as I only did a quick check.
 
Last edited:
Snapshot.jpg

I still got the same result. I got the solutions for the integrals from the Mathematics Handbook for Science and Engineering
 
How did you get different results for the integral ##\int_0^\infty x^2e^{-2\alpha x^2}## in your first and third part?
That's where your mistake likely can be found.
 

Similar threads

  • · Replies 4 ·
Replies
4
Views
2K
  • · Replies 6 ·
Replies
6
Views
3K
  • · Replies 2 ·
Replies
2
Views
2K
  • · Replies 1 ·
Replies
1
Views
3K
Replies
1
Views
2K
  • · Replies 1 ·
Replies
1
Views
3K
  • · Replies 5 ·
Replies
5
Views
2K
  • · Replies 2 ·
Replies
2
Views
2K
  • · Replies 24 ·
Replies
24
Views
3K
  • · Replies 1 ·
Replies
1
Views
2K