What Causes the Complex Number Paradox in Mathematics?

Click For Summary

Discussion Overview

The discussion revolves around the complexities and paradoxes associated with the square root function in the context of complex numbers, particularly focusing on the validity of certain mathematical steps and definitions related to exponentiation and square roots. Participants explore theoretical implications and definitions without reaching a consensus.

Discussion Character

  • Debate/contested
  • Technical explanation
  • Mathematical reasoning

Main Points Raised

  • Some participants argue that the square root function for complex numbers cannot be defined in a way that separates positive and negative roots, leading to ambiguities such as asserting that \(1^{1/2} = 1\).
  • Others challenge the validity of certain steps in the calculations involving complex exponentiation, particularly the transition from \((e^{i2\pi})^{1/2}\) to \(e^{i2\pi \cdot \frac{1}{2}}\), stating that this is only valid for integer exponents.
  • A participant suggests that the standard definition of complex exponentiation leads to \(1^{1/2} = 1\) under the principal value of the logarithm, while others note that this definition may not hold universally.
  • There is discussion about the multivalued nature of the square root function in the complex plane, with some asserting that \(1^{1/2}\) could represent both \(1\) and \(-1\) depending on the definition used.
  • Some participants emphasize that the inability to define a continuous square root function on the complex plane is a fundamental issue that causes certain mathematical identities to fail.
  • Concerns are raised regarding the arbitrary nature of defining square roots and exponentiation, with some arguing that this arbitrariness is similar in both real and complex numbers.

Areas of Agreement / Disagreement

Participants express multiple competing views regarding the definitions and implications of square roots and exponentiation in complex numbers. There is no consensus on the validity of specific mathematical steps or the implications of these definitions.

Contextual Notes

Participants note that the definitions of exponentiation and square roots can vary and that the absence of a canonical ordering in complex numbers complicates the establishment of a single, coherent definition. The discussion highlights the limitations of applying real number properties to complex numbers.

bgq
Messages
162
Reaction score
0
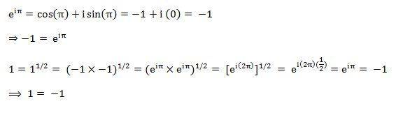
Hi,

How can we explain this paradox:

Paradox.jpg


Thanks in advance.
 
Physics news on Phys.org
This FAQ may be of use.

https://www.physicsforums.com/showthread.php?t=637214
 
Last edited by a moderator:
  • Like
Likes   Reactions: 1 person
For real numbers, "the" square root function of "a" is defined as "the positive number, b, such that [itex]b^2= a[/itex]". For the complex numbers, which do not form an ordered field and so we cannot separate into "positive" and "negative" numbers, we can distinguish so easily between the two square roots and so we cannot say "[itex]1^{1/2}= 1[/itex]". There are two numbers whose square is 1, 1 and -1, and we cannot simply assert that 11/2 is either 1 or -1.

In short, your error is in the first step, asserting that 1= 11/2. That is true as long as you stay in the real numbers. As soon as you extend into the complex numbers, you cannot say that.
 
  • Like
Likes   Reactions: 1 person
Thank you very much
 
Since he has not given an alternate definition of [itex]1^{1/2}[/itex], I'm assuming he is using the standard definition of complex exponentiation, which is [itex]x^y = e^{y \log(x)}[/itex], where [itex]\log(x)[/itex] is the principal value of the logarithm and [itex]e^z[/itex] is the complex exponential (one always assumes this unless a different definition is explicitely specified). Then [itex]1^{1/2} = e^{\frac{1}{2}\cdot\log(1)}=e^0=1[/itex]. You can also check that the standard definition of complex exponentiation agrees with the principal square root if the exponent is [itex]1/2[/itex].

If you use the standard definition of complex exponentiation, you can even see that [itex](e^{2\pi i})^{1/2}=e^{\frac{1}{2} \log (e^{2\pi i})}= e^{\frac{1}{2}\cdot 0}=1[/itex] gives the correct answer in the calculation of the OP.
 
I think (as Rubi suggested) that the mistake is that:

(eix)n = eixn is only valid if n is integer

so (ei(2π))1/2 = (ei(2π)(1/2) is wrong because 1/2 is not integer.

I think 1 = 11/2 is valid because even in complex number system, if we assume 11/2 = a + ib we get a = 1 and b = 0.
 
bgq said:
I think 1 = 11/2 is valid because even in complex number system, if we assume 11/2 = a + ib we get a = 1 and b = 0.

Here, it really depends what you mean with exponentiation. The usual way to define exponents sure does say that ##1= 1^{1/2}##, but the explanation for that is a bit more complicated than what you say as it involves complex logarithms and such.

There might be other useful definitions of exponentiation. For example, we can define it as a multivalued function. In that case, ##1=1^{1/2}## will not be true. Rather we would have that ##1^{1/2}## is a set containing ##1## and ##-1##.
 
  • #10
I agree with Halls in spirit and in substance. The inability to define a continuous square root function is the whole point. I.e. although one can arbitrarily define log of a complex number by choosing "principal" values,, or a principal square root, there is no way to do so continuously on the complex plane. This causes some of the expected properties to fail. micromass is addressing the same point as Halls in another way.
 
  • #11
I'm not saying that there may not be other definitions of exponentiation. I'm just arguing that saying "[itex]1=1^{1/2}[/itex] is invalid (in general)" is wrong, because there is a way (a pretty standard way even) of making it's meaning precise. The said convention is used everyday (just solve a quadratic equation with complex coefficients using the standard formula for example).

The problem of choosing how to define the square root isn't merely a problem of the complex numbers. You could as well define it to be the negative solution of y^2 = x for the reals (this would also be a well-definied prescription). There is a well-defined way to choose a solution in both the real numbers and the complex numbers (in the real numbers choose the positive solution, in the complex numbers choose the principal square root). This choice is of course arbitrary, but it's a well-known convention and it's arbitrary already for the reals. There is also arbitraryness in the choice of the real arcsin function for example. We have made that choice once and declared it to be the standard choice and it's taught this way in every undergrad math class.

It's wrong to say that the absence of a canonical ordering of the complex numbers makes it impossible to choose one distinguished element among the solutions to [itex]y^2=x[/itex] (which was the point of HallsofIvy's initial argument, why [itex]1^{1/2}[/itex] isn't well-defined). There is a well-defined choice and it's just as arbitrary as the choice you have to make for the reals.

So of course you are right that one has to make an arbitrary choice in order to define what one means by [itex]1^{1/2}[/itex], but I find it very misleading to tell the OP that the problem of his calculation is related to this choice (that's why I care to argue about this in the first place). The real problem is that some of the identities that hold for the reals don't hold for complex numbers anymore. In fact, [itex](e^a)^b=e^{ab}[/itex] never holds for all [itex]a[/itex],[itex]b[/itex], no matter what choice of complex exponentiation one makes.
 
  • #12
HallsofIvy said:
For real numbers, "the" square root function of "a" is defined as "the positive number, b, such that [itex]b^2= a[/itex]". For the complex numbers, which do not form an ordered field and so we cannot separate into "positive" and "negative" numbers, we can distinguish so easily between the two square roots and so we cannot say "[itex]1^{1/2}= 1[/itex]". There are two numbers whose square is 1, 1 and -1, and we cannot simply assert that 11/2 is either 1 or -1.

In short, your error is in the first step, asserting that 1= 11/2. That is true as long as you stay in the real numbers. As soon as you extend into the complex numbers, you cannot say that.

it's not even true as long as he stays in the reals. -1 is a real number.
 
  • #13
True. Thank you.
 
  • #14
rubi, I think you and Halls are making the same point, but for me he said it in a simpler way. the fact there are two choices of square roots, neither of which can be coherently chosen for all complex numbers, is ultimately behind the phenomenon you mention that some identities fail as well.

Hall's point is that the square root is a 2 valued function, and for complexes it cannot be made into a one valued function having the properties rubi points out to fail.

Consider (ab)^(1/2) =? a^(1/2)(b^(1/2) ?

E.g. the simple rule that a product of square roots of a and b is a square root of ab is true, but it may not be the square root one wants it to be, This is because, the values of the square root function will generally not even be closed under multiplication.

so as a two valued function the formula above is true, but no single valued choice of square roots makes it true.

E.g. all square roots can be chosen to have real part ≥*0. e.g. we may say 1^1/2 = 1, and -1^1/2 = i. This is a clear and precise choice, but it is an arbitrary choice, and in particular is not continuous.

Now if we square i, we get out of the range of numbers with positive real part, so the left hand side of our formula will have pos real part but the right side won't.

i.e. (-1)(-1) = 1, but (-1)^(1/2).(-1)^(1/2) = i.i = -1, instead of 1.

So the whole difficulty with the identities failing, is the essential two valued nature of the complex function, which is what I understood Halls to be saying.

In the real case, the function is again 2 valued, but there is the choice of positive square roots for positive numbers, which gives a good continuous single valued version of the function.

Note also the positive reals are closed under multiplication.At least this is what I think is going on.
 
Last edited:
  • #15
Hi mathwonk,

of course, everything you say is true.

The point I'm trying to make is that the term [itex]1^{1/2}[/itex] is in my opinion generally accepted to be interpreted using principal values, i.e. using single-valued functions, if no other definition was specified. Of course I might be wrong about this since I haven't read all papers that exist and my sample might be biased. However, this is my experience and that's why I find it misleading to say [itex]1^{1/2}=1[/itex] was invalid.

Anyway, I think that it has become clear that there are different conventions to interpret such expressions and which one you should choose depends on what you want to do. In either case you need to be careful.
 
  • #16
That all sounds really confusing. Better and simpler to recognize the square root function as a multivalued function so it is not correct to assert:

[tex]1=1^{1/2}[/tex]

That's not true in my opinion. The best we could do with that is to interpret that expression as "one is equal to one of the members of the set [itex]\{-1,1\}[/itex], the two values of the square root of 1. If we use that interpretation throughout the second line in the original expression, it makes sense until we come to the part:

[tex]\left(e^{2\pi i}\right)^{1/2}=e^{\pi i}[/tex]

That is again incorrect: The set of square root values for [itex]e^{2\pi i}[/itex], [itex]\{-1,1\}[/itex] is not equal to -1.
 
  • #17
rubi said:
The illegal step is [itex](e^{i2\pi})^{1/2}=e^{i2\pi \cdot \frac{1}{2}}[/itex]. The step [itex]1=1^{1/2}[/itex] is completely valid (see http://en.wikipedia.org/wiki/Square_root#Principal_square_root_of_a_complex_number).

rubi said:
The point I'm trying to make is that the term [itex]1^{1/2}[/itex] is in my opinion generally accepted to be interpreted using principal values,

rubi, i don't think that mathematical proofs can be supported by what is generally accepted interpretation.

it is equally invalid to say

[tex]1^{1/2} = 1[/tex]

as it is to say

[itex](e^{i2\pi})^{1/2} = e^{i2\pi \cdot \frac{1}{2}}[/itex].

the only valid thing to say (unless one has more information about [itex]x[/itex]) about

[tex]y^{1/2} = x[/tex]

is that

[tex]x^2 = y[/tex]

nothing else. and we know that, unless [itex]y=0[/itex], there are two equally valid solutions for [itex]x[/itex]. if some specific value for [itex]x[/itex] (call it "[itex]\sqrt{y}[/itex]" whatever that means) is a solution, it must also be that the negative of that is also an equally valid solution. to say that there is a paradox while insisting that only one value of [itex]x[/itex] satisfies the above equation is the mistake.
 
  • #18
rbj said:
rubi, i don't think that mathematical proofs can be supported by what is generally accepted interpretation.
Interpretation is the wrong word. It is a definition. For two complex numbers [itex]w[/itex] and [itex]z[/itex], we define [itex]w^z[/itex] to be equal to [itex]e^{z\log w}[/itex], where [itex]\log[/itex] is the principal logarithm. This is a completely valid definition that is found in every math text on complex analysis and we can use it to rigorously prove [itex]1^{1/2} = 1[/itex].

the only valid thing to say (unless one has more information about [itex]x[/itex]) about

[tex]y^{1/2} = x[/tex]

is that

[tex]x^2 = y[/tex]

nothing else.
No. By squaring the equation, you introduced an extra solution that is not a solution to the initial equation. These two equations aren't equivalent. The same thing happens for example when you start with [itex]x=1[/itex]. This obviously has only one solution, which is [itex]1[/itex], but it you square it, you get [itex]x^2 = 1[/itex], which has two solutions [itex]1[/itex] and [itex]-1[/itex]. The same thing also holds for trigonometric functions. [itex]\arcsin(0)[/itex] is defined to be [itex]0[/itex], although [itex]\sin(\pi k)=0[/itex] for every integer [itex]k[/itex].

Working with single-valued functions is completely rigorous. It's a matter of taste and/or depends on the problem, you are trying so solve, whether you should use single-valued or multi-valued functions. It should be clear from the context in most situations, which approach one particular author uses.

We are arguing here, which approach is better, which is quite stupid in my opinion (especially on the internet), because both approaches are useful in different situations. I don't know, which approach is used more often. In my opinion, single-valued functions are usually preferred, but as i said, I might be wrong about this, since I haven't read every paper that exists. I just don't agree that one of these approaches is wrong or invalid.
 
  • #19
rubi said:
Interpretation is the wrong word. It is a definition. For two complex numbers [itex]w[/itex] and [itex]z[/itex], we define [itex]w^z[/itex] to be equal to [itex]e^{z\log w}[/itex], where [itex]\log[/itex] is the principal logarithm. This is a completely valid definition that is found in every math text on complex analysis and we can use it to rigorously prove [itex]1^{1/2} = 1[/itex].
Not to butt in, but...I'm pretty sure we define complex exponentiation by ##w^z=e^{z\ln{w}}## for any given value of the natural logarithm, not just the principle value. :wink:

Both single valued and multivalued interpretations are fine. However, I like to use the multivalued "interpretation" because it is more general and it seems to remove most problems with apparent "paradoxes."

I really like micromass's thread https://www.physicsforums.com/showthread.php?t=637214. It's a good place to start if you're unsure of how to use multivalued exponentiation.
 
  • #20
Mandelbroth said:
Not to butt in, but...I'm pretty sure we define complex exponentiation by ##w^z=e^{z\ln{w}}## for any given value of the natural logarithm, not just the principle value. :wink:

No, rubi is right. Defining it as the principal value is standard. Either you define it as ##w^z = e^{z\log(w)}##, where the logarithm is the principal branch, or where it is multivalued. Either ways are fine.
 
  • #21
Mandelbroth said:
Not to butt in, but...I'm pretty sure we define complex exponentiation by ##w^z=e^{z\ln{w}}## for any given value of the natural logarithm, not just the principle value. :wink:

I agree. Know what, maybe the best thing to do is to just do away with branching and approach problems like this from the multivalued perspective. Even do that in basic Complex Analysis. The whole branching thing causes a lot of problems, frustrations, and students get turned away from the subject: only cut-out a piece of a multivalued function (branch it) when you have to. And by cutting out a piece when it is not algebraically correct to do, you can reach mathematical paradoxes as in the subject of this thread.
 
Last edited:
  • #22
jackmell said:
The whole branching thing causes a lot of problems, frustrations, and students get turned away from the subject

If a student gets frustrated with the math, the student needs to change; not the math.
 
  • #23
rubi said:
If a student gets frustrated with the math, the student needs to change; not the math.

Depends on why the student is getting frustrated. I've seen examples of math presented poorly. The type of frustration this leads to can be corrected by changing the way math is presented. The way branch-cuts are currently presented in Complex Analysis today leads to frustration on the part of the student, not because he is thick-headed and cannot absorb the concept, rather the concept is not being introduced in a way conducive to comprehension on an intuitive level.

I can give an example of what I mean at the risk of being criticized for it. This is a thread on the complex logarithm. The concept is not easy to comprehend until Alice helps us with it:

https://www.physicsforums.com/showthread.php?t=702808
 
  • #24
jackmell said:
Depends on why the student is getting frustrated. I've seen examples of math presented poorly. The type of frustration this leads to can be corrected by changing the way math is presented. The way branch-cuts are currently presented in Complex Analysis today leads to frustration on the part of the student, not because he is thick-headed and cannot absorb the concept, rather the concept is not being introduced in a way conducive to comprehension on an intuitive level.
That depends on the person. For me, working with single-valued functions is much simpler, because you have standard functions [itex]f:\mathbb C\rightarrow\mathbb C[/itex] instead of [itex]f:\mathcal P(\mathbb C)\rightarrow\mathcal P(\mathbb C)[/itex]. But as I said, it's a matter of taste and you need to know both approaches.

I can give an example of what I mean at the risk of being criticized for it. This is a thread on the complex logarithm. The concept is not easy to comprehend until Alice helps us with it:

https://www.physicsforums.com/showthread.php?t=702808
I don't really see where you need multi-valued functions for this problem. You can just solve the integral using standard integration techniques. It might take some time, but i doubt the problem will be easier with the multi-valued approach. It's just shifted to somewhere else.
 

Similar threads

  • · Replies 108 ·
4
Replies
108
Views
13K
  • · Replies 2 ·
Replies
2
Views
3K
  • · Replies 3 ·
Replies
3
Views
2K
  • · Replies 46 ·
2
Replies
46
Views
9K
  • · Replies 7 ·
Replies
7
Views
5K
  • · Replies 7 ·
Replies
7
Views
2K
  • · Replies 5 ·
Replies
5
Views
2K
  • · Replies 14 ·
Replies
14
Views
4K
  • · Replies 7 ·
Replies
7
Views
3K
  • · Replies 2 ·
Replies
2
Views
2K